Zastava Bosne i Hercegovine

UREDBA O CARINSKIM POSTUPCIMA I CARINSKIM FORMALNOSTIMA

("Sl. glasnik RS", br. 39/2019, 8/2020, 132/2021, 144/2022, 117/2023, 97/2024 i 12/2026)

 

Prilog 1

ZAHTEV ZA IZDAVANJE OBAVEZUJUĆEG OBAVEŠTENJA O SVRSTAVANJU ROBE (OOS)

Prilog 2 - OOS

ODLUKA U VEZI SA OBAVEZUJUĆIM OBAVEŠTENJEM O SVRSTAVANJU ROBE

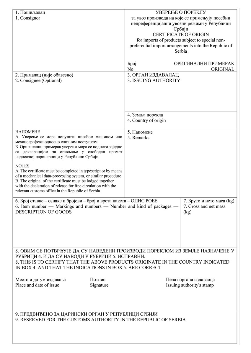
Prilog 3 - OOP

ODLUKA U VEZI SA OBAVEZUJUĆIM OBAVEŠTENJEM O POREKLU ROBE

Prilog 4

ZAHTEV ZA DOBIJANJE STATUSA AEO

Način popunjavanja rubrika:

1. Podnosilac zahteva - uneti puno ime privrednog subjekta podnosioca zahteva.

2. Pravni status podnosioca zahteva - navesti pravni status naveden u osnivačkom aktu.

3. Datum osnivanja - uneti (brojevima) dan, mesec i godinu osnivanja.

4. Adresa osnivanja - navesti punu adresu mesta gde je privredni subjekt osnovan, uključujući i državu gde je osnovan.

5. Glavno mesto poslovanja - navesti punu adresu mesta gde se preduzimaju glavne poslovne aktivnosti.

6. Kontakt osoba - navesti puno ime, brojeve telefona i faksa i mejl adresu lica zaduženog od strane privrednog subjekta za održavanje kontakta sa carinskim organom koji obrađuje zahtev.

7. Adresa za prijem pošte - popuniti samo u slučaju kad se razlikuje od adrese osnivanja.

8. PIB: Uneti poreski identifikacioni broj.

9. Zahtevana vrsta odobrenja - prekrižiti kućicu ispred željenog sertifikata.

10. Delatnost - opisati aktivnost podnosioca zahteva.

11. Informacije o prelasku granice - navesti carinarnice preko kojih se obično vrši prelazak granice.

12. Odobrena pojednostavljenja ili olakšice, sertifikati iz člana 32. stav 2. ove uredbe i/ili status regulisanog agenta ili poznatog pošiljaoca iz člana 32. stav 5. ove uredbe - u slučaju već odobrenih pojednostavljenja, navesti vrstu pojednostavljenja, odgovarajući carinski postupak i broj odobrenja. Odgovarajući carinski postupak navesti u skladu sa načinom propisanim za popunjavanje deklaracije.

U slučaju da podnosilac zahteva poseduje jedan ili više odobrenja/sertifikata gore navedenih, navesti vrstu i broj odobrenja/sertifikata.

13, 14. i 15. Carinarnice za dokumentaciju/glavnu knjigovodstvenu evidenciju - navesti pune adrese odgovarajućih carinarnica. Ako carinarnice imaju istu adresu, popuniti samo rubriku 13.

16. Ime, datum i potpis podnosioca zahteva:

Potpis: Potpisnik treba da označi u kom svojstvu istupa. Potpisnik bi uvek trebalo da bude ovlašćeno lice.

Ime: Naziv podnosioca zahteva.

Broj priloga:

Podnosilac zahteva treba da da sledeće opšte informacije:

1) Pregled glavnih vlasnika/akcionara, uz navođenje njihovih imena i dela učešća u kapitalu. Pregled članova borda direktora. Da li su vlasnici poznati carinskim organima od ranije zbog nepoštovanja propisa.

2) Podatke o licu koje je kod podnosioca zahteva odgovorno za carinska pitanja.

3) Opis ekonomske delatnosti podnosioca zahteva.

4) Precizirati mesto poslovanja izdvojenih delova podnosioca zahteva i kratko opisati aktivnosti svakog od njih. Precizirati da li u pravnom prometu podnosilac zahteva i svaki od njegovih izdvojenih delova istupa u svoje ime i za svoj račun ili u svoje ime, a za račun drugog lica ili istupa u ime i za račun drugog lica.

5) Precizirati da li je roba kupljena od i/ili isporučena privrednim subjektima koji su povezani sa podnosiocem zahteva.

6) Opis unutrašnje organizacije podnosioca zahteva, a ako postoji, priložiti i dokumentaciju o funkcijama/nadležnostima svakog sektora i/ili službi.

7) Podatke o ukupnom broju zaposlenih i za svaki odsek posebno.

8) Imena rukovodilaca (generalnih direktora, rukovodilaca odseka, rukovodilaca odseka računovodstva, rukovodioca carinskog odseka itd.). Opisati mere koje su usvojene, a koje se primenjuju u slučaju kad je nadležni zaposleni odsutan, privremeno ili stalno.

9) Ime i položaj u okviru organizacije podnosioca zahteva lica koje je stručno za carinska pitanja. Procena nivoa znanja ovih lica u pogledu korišćenja informacionih tehnologija u carinskim i trgovinskim postupcima i uopšte u trgovinske svrhe.

10) Slaganje ili neslaganje sa objavljivanjem odobrenja AEO na listi ovlašćenih privrednih subjekata.

Prilog 5

AEO ODOBRENJE

 

Prilog 6

NALEPNICA ZA OZNAČAVANJE PREDATOG PRTLJAGA NA DOMAĆEM AERODROMU

1. KARAKTERISTIKE

Nalepnica iz člana 50. ove uredbe mora biti napravljena tako da se ne može ponovo upotrebiti.

a) Nalepnica ima najmanje 5 mm široku zelenu traku po celoj dužini dva ruba odeljaka na kojima se navodi putovanje i podaci za identifikaciju. Nadalje, zelene trake mogu se protezati i na druge delove nalepnice za prtljag, osim na ona područja na kojima je prikazan barkod nalepnice, koji mora biti otisnut na čistoj beloj podlozi (videti uzorke u tački 2. pod a));

b) Za "prtljag u hitnom postupku" nalepnica ima zelene umesto crvenih traka uz rubove (videti uzorak u tački 2. pod b))

2. MODELI

Prilog 7

UVODNE NAPOMENE I SPISAK BITNIH OPERACIJA PRERADE ILI OBRADE KOJIMA SE STIČE NEPREFERENCIJALNO POREKLO

UVODNE NAPOMENE

1. Definicije

1.1. Upućivanja na "izradu", "proizvodnju" ili "preradu" robe obuhvataju svaku vrstu obrade, montaže ili prerade.

Načini dobijanja robe uključuju izradu, proizvodnju, preradu, uzgoj, gajenje, reprodukciju, rudarstvo, vađenje, berbu, žetvu, ribolov, zamkarenje, skupljanje, prikupljanje, lov i hvatanje.

1.2. "Materijal" uključuje sastojke, delove, komponente, podsklopove i robu koja je bila fizički ugrađena u drugu robu ili je bila podvrgnuta nekom postupku u proizvodnji druge robe.

"Materijal s poreklom" - materijal čija je zemlja porekla, utvrđena na osnovu ovih pravila, ista kao i zemlja u kojoj se taj materijal upotrebljava u proizvodnji.

"Materijal bez porekla" - materijal čija zemlja porekla, utvrđena na osnovu ovih pravila, nije ista kao i zemlja u kojoj se taj materijal upotrebljava u proizvodnji.

"Proizvod" - svaki izrađeni proizvod, čak i ako je namenjen za kasniju upotrebu u drugom postupku izrade.

1.3. Pravilo dodate vrednosti

a) "pravilo H% dodate vrednosti" - izrada u kojoj povećanje vrednosti ostvareno kao rezultat obrade i prerade i, po potrebi, ugradnje delova koji potiču iz zemlje izrade predstavlja najmanje H% cene proizvoda franko fabrika. "H" predstavlja procenat naveden za svaki tarifni broj,

b) "vrednost ostvarena kao rezultat obrade i prerade i ugradnje delova poreklom iz zemlje izrade" - povećanje vrednosti po osnovu same montaže, zajedno sa pripremnim i završnim radnjama i kontrolom, kao i po osnovu ugradnje delova poreklom iz zemlje gde se navedene radnje obavljaju, uključujući dobit i opšte troškove nastale u toj zemlji usled tih radnji.

v) "cena franko fabrika" - cena plaćena ili koja treba da bude plaćena za proizvod spreman za preuzimanje u prostorijama proizvođača u čijem je preduzeću obavljena poslednja obrada ili prerada; ta cena mora da izražava sve troškove u vezi sa izradom proizvoda (uključujući troškove svih upotrebljenih materijala), umanjene za unutrašnje poreze koji se vraćaju ili se mogu vratiti kada se dobijeni proizvod izveze ili ponovo izveze.

Ako stvarno plaćena cena ne izražava sve troškove stvarno nastale u zemlji proizvodnje u vezi sa izradom proizvoda, cena franko fabrika je zbir svih tih troškova umanjen za sve unutrašnje poreze, koji se vraćaju ili se mogu vratiti kada se dobijeni proizvod izveze ili ponovo izveze;

1.4. Potpuno dovršavanje

Termin "potpuno dovršavanje" upotrebljen u spisku znači da je potrebno obaviti sve radnje koje slede posle krojenja materijala ili pletenja ili kukičanja u određeni oblik. Međutim, potpuno dovršavanje se ne smatra nužno nepotpunim ako nije obavljena jedna završna radnja ili više njih.

1.5. Kada se u ovom aneksu upotrebljava izraz "zemlja" smatra se da se on odnosi na "zemlju ili teritoriju".

2. Primena pravila u ovom prilogu

2.1. Pravila iz ovog priloga se primenjuju na robu na osnovu njihovog svrstavanja u Harmonizovani sistem, kao i na osnovu daljih kriterijuma koji se mogu utvrditi uz tarifne brojeve ili podbrojeve Harmonizovanog sistema i koji su izrađeni posebno za svrhe ovog priloga. Tarifni broj ili podbroj Harmonizovanog sistema koji je dalje podeljen primenom tih kriterijuma u ovom prilogu se naziva "izdvojenim delom tarifnog broja" ("eh tarifni broj") ili "izdvojenim delom tarifnog podbroja" ("eh tarifni podbroj"). "Harmonizovani sistem" ili "HS" je nomenklatura robe sa izmenama u skladu sa preporukom Saveta za carinsku saradnju od 28. juna 2019. godine (HS2022) propisana Međunarodnom konvencijom o Harmonizovanom sistemu naziva i šifarskih oznaka roba.

Svrstavanje robe u tarifne brojeve i tarifne podbrojeve Harmonizovanog sistema uređeno je Osnovnim pravilima za primenjivanje Harmonizovanog sistema i odgovarajućim napomenama uz odeljke, glave i tarifne podbrojeve tog sistema. Ta pravila i napomene su deo nomenklature Carinske tarife. Radi utvrđivanja tačnog eh tarifnog broja ili eh tarifnog podbroja za određenu robu u ovom prilogu, Opšta pravila za primenjivanje Harmonizovanog sistema i odgovarajuće napomene uz odeljke, glave i tarifne podbrojeve tog sistema primenjuju se mutatis mutandis, ukoliko se ovim prilogom ne zahteva drugačije.

2.2. Upućivanje na promene u tarifnom svrstavanju u osnovnim pravilima utvrđenim dalje u tekstu primenjuju se samo na materijale bez porekla.

2.3. Materijali koji su stekli status proizvoda sa poreklom u nekoj zemlji smatraju se materijalima sa poreklom iz te zemlje u svrhu utvrđivanja porekla robe u koju je ugrađen taj materijal ili robe izrađene od tog materijala daljom obradom ili preradom u toj zemlji.

2.4. Kada držanje odvojenih zaliha međusobno zamenljivih materijala ili robe poreklom iz različitih zemalja nije praktično, zemlja porekla izmešanih međusobno zamenljivih materijala ili robe može se utvrditi na osnovu metoda upravljanja zalihama priznatog u zemlji u kojoj su materijali ili roba bili izmešani.

2.5. Radi primene osnovnih pravila zasnovanih na promeni tarifnog svrstavanja, materijali bez porekla koji ne ispunjavaju osnovno pravilo, ako nije drugačije navedeno u određenoj glavi, ne uzimaju se u obzir, pod uslovom da ukupna vrednost tih materijala ne prelazi 10% cene robe franko fabrika.

2.6. Osnovna pravila utvrđena na nivou Glave (osnovna pravila Glave) imaju istu vrednost kao osnovna pravila utvrđena na nivou podpodele i mogu se primenjivati alternativno.

3. Pregled skraćenica

Osnovna pravila na nivou podpodele, kada se zasnivaju na promeni tarifnog svrstavanja, mogu se izraziti pomoću sledećih skraćenica:

CC - promena u datu glavu iz bilo koje druge glave

CTH - promena u dati tarifni broj iz bilo kog drugog tarifnog broja

CTSH - promena u dati tarifni podbroj iz bilo kog drugog tarifnog podbroja

CTHS - promena u dati eh tarifni broj iz bilo kog drugog eh tarifnog broja tog tarifnog broja ili iz bilo kog drugog tarifnog broja

CTHS - promena u dati eh tarifni podbroj iz bilo kog drugog eh tarifnog podbroja tog tarifnog podbroja ili iz bilo kog drugog tarifnog podbroja ili tarifnog broja.

Odeljak I

ŽIVE ŽIVOTINJE; PROIZVODI ŽIVOTINJSKOG POREKLA

Glava 2

MESO I OSTALI JESTIVI KLANIČNI PROIZVODI

Preostalo pravilo uz ovu glavu koje se primenjuje za mešavine:

(1) Radi primene ovog preostalog pravila, "mešanje" je svrsishodna i srazmerno kontrolisana operacija, koja se sastoji u spajanju dva ili više zamenljivih materijala.

(2) Zemlja porekla mešavine proizvoda iz ove glave je ona zemlja iz koje su poreklom materijali koji čine više od 50% mase mešavine. Masa materijala istog porekla uzima se u obzir zajedno.

(3) Kada nijedan od korišćenih materijala ne zadovoljava zahtevani procenat, poreklo mešavine je zemlja u kojoj je mešanje obavljeno.

Napomena uz ovu glavu:

Ako osnovno pravilo za tar. br. 0201 do 0206 nije ispunjeno, smatra se da je meso (klanični proizvodi) poreklom iz zemlje u kojoj su životinje, od kojih je dobijeno, najduže tovljene ili gajene.

Preostalo pravilo uz ovu glavu:

Ako se zemlja porekla ne može utvrditi primenom osnovnih pravila i drugih preostalih pravila uz ovu glavu, zemlja porekla robe je zemlja iz koje potiče najveći deo materijala, utvrđen na osnovu mase materijala.

Tarifni broj HS 2022

Opis robe

Osnovna pravila

0201

Meso goveđe, sveže ili rashlađeno

Zemlja porekla robe iz ovog tarifnog broja je zemlja u kojoj je životinja tovljena najmanje tri meseca pre klanja.

0202

Meso goveđe, smrznuto

Zemlja porekla robe iz ovog tarifnog broja je zemlja u kojoj je životinja tovljena najmanje tri meseca pre klanja.

0203

Meso svinjsko, sveže, rashlađeno ili smrznuto

Zemlja porekla robe iz ovog tarifnog broja je zemlja u kojoj je životinja tovljena najmanje dva meseca pre klanja.

0204

Meso ovčje ili kozje, sveže, rashlađeno ili smrznuto

Zemlja porekla robe iz ovog tarifnog broja je zemlja u kojoj je životinja tovljena najmanje dva meseca pre klanja.

0205

Meso konjsko, magareće od mula ili od mazgi, sveže, rashlađeno ili smrznuto

Zemlja porekla robe iz ovog tarifnog broja je zemlja u kojoj je životinja tovljena najmanje tri meseca pre klanja.

0206

Ostali jestivi klanični proizvodi od mesa, goveđeg, svinjskog, ovčjeg, kozjeg, konjskog, magarećeg, od mula ili od mazgi, sveži, rashlađeni ili smrznuti

Zemlja porekla robe iz ovog tarifnog broja je zemlja u kojoj je životinja tovljena najmanje tri meseca pre klanja, ili kada je reč o svinjama, ovcama ili kozama, dva meseca pre klanja

Glava 4

MLEKO I PROIZVODI OD MLEKA; ŽIVINSKA I PTIČJA JAJA; PRIRODNI MED; JESTIVI PROIZVODI ŽIVOTINJSKOG POREKLA, NEPOMENUTI NITI OBUHVAĆENI NA DRUGOM MESTU

Preostalo pravilo uz ovu glavu koje se primenjuje za mešavine:

(1) Radi primene ovog preostalog pravila, "mešanje" je svrsishodna i srazmerno kontrolisana operacija koja se sastoji u spajanju dva ili više zamenljivih materijala.

(2) Zemlja porekla mešavine proizvoda iz ove glave je ona zemlja iz koje su poreklom materijali koji čine više od 50% mase mešavine; međutim, zemlja porekla mešavine proizvoda iz tar. br. 0401-0404 je ona zemlja iz koje su poreklom materijali koji čine više od 50% mase suve materije mešavine. Masa materijala istog porekla uzima se u obzir zajedno.

(3) Kada nijedan od korišćenih materijala ne zadovoljava zahtevani procenat, poreklo mešavine je zemlja u kojoj je mešanje obavljeno.

Preostalo pravilo uz ovu glavu:

Ako se zemlja porekla ne može utvrditi primenom osnovnih pravila i drugih preostalih pravila uz ovu glavu, zemlja porekla robe je zemlja iz koje potiče najveći deo materijala, utvrđen na osnovu mase materijala.

Tarifni broj HS 2022

Opis robe

Osnovna pravila

ex 0408

- Živinska i ptičja jaja bez ljuske, sušena, i žumanca od jaja, sušena

Zemlja porekla robe je zemlja u kojoj je obavljeno sušenje (posle razbijanja i odvajanja, po potrebi):
- živinskih i ptičjih jaja u ljusci, svežih ili konzervisanih, iz tarifnog broja HS ex 0407
- živinskih i ptičjih jaja bez ljuske, osim sušenih, iz tarifnog broja HS ex 0408
- žumanaca od jaja, osim sušenih, iz tarifnog broja HS ex 0408

Odeljak II

BILJNI PROIZVODI

Glava 9

KAFA, ČAJ, MATE ČAJ I ZAČINI

Preostalo pravilo uz ovu glavu koje se primenjuje za mešavine:

(1) Radi primene ovog preostalog pravila, "mešanje" je svrsishodna i srazmerno kontrolisana operacija koja se sastoji u spajanju dva ili više zamenljivih materijala.

(2) Zemlja porekla mešavine proizvoda iz ove glave je ona zemlja iz koje su poreklom materijali koji čine više od 50% mase mešavine. Masa materijala istog porekla uzima se u obzir zajedno.

(3) Kada nijedan od korišćenih materijala ne zadovoljava zahtevani procenat, poreklo mešavine je zemlja u kojoj je mešanje obavljeno.

Preostalo pravilo uz ovu glavu:

Ako se zemlja porekla ne može utvrditi primenom osnovnih pravila i drugih preostalih pravila uz ovu glavu, zemlja porekla robe je zemlja iz koje potiče najveći deo materijala, utvrđen na osnovu mase materijala.

Tarifni broj HS 2022

Opis robe

Osnovna pravila

 

- Kafa, nepržena:

 

0901 11

- - Sa kofeinom

Zemlja porekla robe iz ovog tarifnog podbroja je zemlja u kojoj je dobijena u svom prirodnom ili neprerađenom stanju.

0901 12

- - Bez kofeina

Zemlja porekla robe iz ovog tarifnog podbroja je zemlja u kojoj je dobijena u svom prirodnom ili neprerađenom stanju.

 

- Kafa, pržena:

 

0901 21

- - Sa kofeinom

CTSH

0901 22

- - Bez kofeina

CTSH

Glava 11

PROIZVODI MLINSKE INDUSTRIJE; SLAD; SKROB; INULIN; GLUTEN OD PŠENICE

Preostalo pravilo uz ovu glavu koje se primenjuje za mešavine:

(1) Radi primene ovog preostalog pravila, "mešanje" je svrsishodna i srazmerno kontrolisana operacija koja se sastoji u spajanju dva zamenljiva ili više zamenljivih materijala.

(2) Zemlja porekla mešavine proizvoda iz ove glave je ona zemlja iz koje su poreklom materijali koji čine više od 50% mase mešavine. Masa materijala istog porekla uzima se u obzir zajedno.

(3) Kada nijedan od korišćenih materijala ne zadovoljava zahtevani procenat, poreklo mešavine je zemlja u kojoj je mešanje obavljeno.

Preostalo pravilo uz ovu glavu:

Ako se zemlja porekla ne može utvrditi primenom osnovnih pravila i drugih preostalih pravila uz ovu glavu, zemlja porekla robe je zemlja iz koje potiče najveći deo materijala, utvrđen na osnovu mase materijala.

Tarifni broj HS 2022

Opis robe

Osnovna pravila

1101

Brašno od pšenice ili napolice

CC

1102

Brašno od žitarica osim pšenice ili napolice

CC

1103

Prekrupa od žitarica, griz i pelete

CC

1104

Žitarice u zrnu drugačije obrađene (npr.: oljuštene, valjane u ljuspicama, perlirane, obrezane ili gnječene), osim pirinča iz tarifnog broja 1006; Klice od žitarica, cele, valjane, u ljuspicama ili mlevene

CC

1105

Brašno, griz, prah, ljuspice, granule i peleti od krompira

CC

1106

Brašno, griz i prah, od sušenog mahunastog povrća koje se svrstava u tarifni broj 0713, od sagoa korenja ili krtola iz tarifnog broja 0714, ili od proizvoda iz Glave 8

CC

1107

Slad, pržen ili nepržen

CC

1108

Skrob; Inulin

CTH

1109

Gluten od pšenice, osušen ili neosušen

CTH

Glava 14

BILJNI MATERIJALI ZA PLETARSTVO; BILJNI PROIZVODI NA DRUGOM MESTU NEPOMENUTI NITI OBUHVAĆENI

Preostalo pravilo uz ovu glavu koje se primenjuje za mešavine:

(1) Radi primene ovog preostalog pravila, "mešanje" je svrsishodna i srazmerno kontrolisana operacija koja se sastoji u spajanju dva zamenljiva ili više zamenljivih materijala.

(2) Zemlja porekla mešavine proizvoda iz ove glave je ona zemlja iz koje su poreklom materijali koji čine više od 50% mase mešavine. Masa materijala istog porekla uzima se u obzir zajedno.

(3) Kada nijedan od korišćenih materijala ne zadovoljava zahtevani procenat, poreklo mešavine je zemlja u kojoj je mešanje obavljeno.

Preostalo pravilo uz ovu glavu:

Ako se zemlja porekla ne može utvrditi primenom osnovnih pravila i drugih preostalih pravila uz ovu glavu, zemlja porekla robe je zemlja iz koje potiče najveći deo materijala, utvrđen na osnovu mase materijala.

Tarifni broj HS 2022

Opis robe

Osnovna pravila

ex 1404

Linters od pamuka, beljen

Zemlja porekla robe je zemlja u kojoj je proizvod izrađen od sirovog pamuka, kada vrednost tog sirovog pamuka ne prelazi 50% cene proizvoda franko fabrika.

Odeljak IV

PROIZVODI PREHRAMBENE INDUSTRIJE; PIĆA, ALKOHOLI I SIRĆE; DUVAN I PROIZVODI ZAMENE DUVANA

Glava 17

ŠEĆER I PROIZVODI OD ŠEĆERA

Preostalo pravilo uz ovu glavu koje se primenjuje za mešavine:

(1) Radi primene ovog preostalog pravila, "mešanje" je svrsishodna i srazmerno kontrolisana operacija koja se sastoji u spajanju dva zamenljiva ili više zamenljivih materijala.

(2) Zemlja porekla mešavine proizvoda iz ove glave je ona zemlja iz koje su poreklom materijali koji čine više od 50% mase mešavine. Masa materijala istog porekla uzima se u obzir zajedno.

(3) Kada nijedan od korišćenih materijala ne zadovoljava zahtevani procenat, poreklo mešavine je zemlja u kojoj je mešanje obavljeno.

Preostalo pravilo uz ovu glavu:

Ako se zemlja porekla ne može utvrditi primenom osnovnih pravila i drugih preostalih pravila uz ovu glavu, zemlja porekla robe je zemlja iz koje potiče najveći deo materijala, utvrđen na osnovu mase materijala.

Tarifni broj HS 2022

Opis robe

Osnovna pravila

1701

Šećer od šećerne trske ili šećerne repe i hemijski čista saharoza, u čvrstom stanju

CC

1702

Ostali šećeri, uključujući hemijski čistu laktozu, maltozu, glukozu i fruktozu u čvrstom stanju; Šećerni sirupi bez dodatih sredstava za aromatizaciju ili materija za bojenje; Veštački med, pomešan ili nepomešan sa prirodnim medom; Karamel

Kao što je navedeno za ex tarifne brojeve

ex 1702 (a)

- hemijski čista laktoza, maltoza, glukoza i fruktoza

CTHS

ex 1702 (b)

- ostalo

CC

1703

Melase dobijene prilikom ekstrakcije ili rafinisanja šećera

CC

1704

Proizvodi od šećera (uključujući belu čokoladu) koji ne sadrže kakao

CTH

Glava 20

PROIZVODI OD POVRĆA, VOĆA, JEZGRASTOG VOĆA, ILI OSTALIH DELOVA BILJA

Preostalo pravilo uz ovu glavu koje se primenjuje za mešavine

(1) Radi primene ovog preostalog pravila, "mešanje" je svrsishodna i srazmerno kontrolisana operacija koja se sastoji u spajanju dva zamenljiva ili više zamenljivih materijala.

(2) Zemlja porekla mešavine proizvoda iz ove glave je ona zemlja iz koje su poreklom materijali koji čine više od 50% mase mešavine; međutim, zemlja porekla mešavine proizvoda iz tarifnog broja 2009 (sokovi od voća ili jezgrastog voća (uključujući širu od grožđa i kokosovu vodu)) i sokovi od povrća, nefermentisani i bez sadržaja dodatog alkohola, sa sadržajem dodatog šećera ili druge materije za zaslađivanje ili bez sadržaja dodatog šećera ili druge materije za zaslađivanje jeste ona zemlja iz koje su poreklom materijali koji čine više od 50% mase suve materije mešavine. Masa materijala istog porekla uzima se u obzir zajedno.

Preostalo pravilo uz ovu glavu:

Ako se zemlja porekla ne može utvrditi primenom osnovnih pravila i drugih preostalih pravila uz ovu glavu, zemlja porekla robe je zemlja iz koje potiče najveći deo materijala, utvrđen na osnovu mase materijala.

Tarifni broj HS 2022

Opis robe

Osnovna pravila

ex 2009

Sok od grožđa

CTH, osim od šire od grožđa iz tarifnog broja 2204

Glava 22

PIĆA, ALKOHOLI I SIRĆE

Preostalo pravilo uz ovu glavu koje se primenjuje za mešavine

(1) Radi primene ovog preostalog pravila, "mešanje" je svrsishodna i srazmerno kontrolisana operacija koja se sastoji u spajanju dva zamenljiva ili više zamenljivih materijala.

(2) Zemlja porekla mešavine proizvoda iz ove glave je ona zemlja iz koje su poreklom materijali koji čine više od 50% mase mešavine; međutim, zemlja porekla mešavine vina (tarifni broj 2204), vermuta (tarifni broj 2205), alkohola, likera i alkoholnih pića (tarifni broj 2208) jeste ona zemlja iz koje su poreklom materijali koji čine više od 85% zapremine mešavine. Masa ili količina materijala istog porekla uzima se u obzir zajedno.

(3) Kada nijedan od korišćenih materijala ne zadovoljava zahtevani procenat, poreklo mešavine je zemlja u kojoj je mešanje obavljeno.

Preostalo pravilo uz ovu glavu:

Ako se zemlja porekla ne može utvrditi primenom osnovnih pravila i drugih preostalih pravila uz ovu glavu, zemlja porekla robe je zemlja iz koje potiče najveći deo materijala, utvrđen na osnovu mase materijala.

Tarifni broj HS 2022

Opis robe

Osnovna pravila

ex 2204

Vino od svežeg grožđa namenjeno za proizvodnju vermuta koje sadrži dodatu širu od svežeg grožđa, koncentrovanu ili nekoncentrovanu, ili alkohol

Zemlja porekla robe je zemlja u kojoj je grožđe dobijeno u svom prirodnom ili neprerađenom stanju.

ex 2205

Vermut

Proizvodnja od vina od svežeg grožđa koje sadrži širu od svežeg grožđa, koncentrovanu ili nekoncentrovanu, ili alkohol, iz tarifnog broja 2204

Odeljak VI

PROIZVODI HEMIJSKE I SRODNIH INDUSTRIJA

Glava 34

SAPUN, ORGANSKA POVRŠINSKI AKTIVNA SREDSTVA, PREPARATI ZA PRANJE, PREPARATI ZA PODMAZIVANJE, VEŠTAČKI VOSKOVI, PRIPREMLJENI VOSKOVI, PREPARATI ZA POLIRANJE ILI ZA UKLANJANJE MASNOĆE, SVEĆE I SLIČNI PROIZVODI, PASTE ZA MODELOVANJE, "ZUBARSKI VOSKOVI" I ZUBARSKI PREPARATI NA BAZI GIPSA

Preostalo pravilo uz ovu glavu:

Ako se zemlja porekla ne može utvrditi primenom osnovnih pravila, zemlja porekla robe je zemlja iz koje potiče najveći deo materijala, utvrđen na osnovu mase materijala.

Tarifni broj HS 2022

Opis robe

Osnovna pravila

ex 3401

Filc ili netkani tekstil, impregnisani, premazani ili prevučeni sapunom ili deterdžentom

Proizvodnja od filca ili netkanog tekstila

ex 3405

Filc ili netkani tekstil, impregnisani, premazani ili prevučeni sredstvima za poliranje i kremama, za obuću, nameštaj, podove, karoserije, staklo ili metal, pastama i praškovima za ribanje i sličnim preparatima

Proizvodnja od filca ili netkanog tekstila

Glava 35

BELANČEVINASTE MATERIJE; MODIFIKOVANI SKROBOVI; LEPKOVI; ENZIMI

Preostalo pravilo uz ovu glavu:

Ako se zemlja porekla ne može utvrditi primenom osnovnih pravila, zemlja porekla robe je zemlja iz koje potiče najveći deo materijala, utvrđen na osnovu mase materijala.

Tarifni broj HS 2022

Opis robe

Osnovna pravila

ex 3502

Albumin iz jaja, sušen

Sušenje (posle razbijanja i odvajanja, po potrebi):
- živinskih i ptičjih jaja, u ljusci, svežih ili konzervisanih, iz tarifnog broja HS ex 0407
- živinskih i ptičjih jaja, bez ljuske, osim sušenih, iz tarifnog broja HS ex 0408 ili
- belanaca od jaja, osim sušenih, iz tarifnog broja HS ex 3502

Odeljak VIII

SIROVA KRUPNA I SITNA KOŽA SA DLAKOM ILI BEZ DLAKE, ŠTAVLJENA KOŽA, KRZNA I PROIZVODI OD KRZNA; SEDLARSKI I SARAČKI PROIZVODI; PREDMETI ZA PUTOVANJE, RUČNE TORBE I SLIČNI KONTEJNERI; PROIZVODI OD ŽIVOTINJSKIH CREVA (OSIM SVILENOG KETGUTA)

Glava 42

PROIZVODI OD KOŽE, SEDLARSKI I SARAČKI PROIZVODI; PROIZVODI ZA PUTOVANJE, RUČNE TORBE I SLIČNI KONTEJNERI I PROIZVODI OD ŽIVOTINJSKIH CREVA (OSIM SVILENOG KETGUTA)

Preostalo pravilo uz ovu glavu:

Ako se zemlja porekla ne može utvrditi primenom osnovnih pravila, zemlja porekla robe je zemlja iz koje potiče najveći deo materijala, utvrđen na osnovu vrednosti materijala.

Tarifni broj HS 2022

Opis robe

Osnovna pravila

ex 4203

- Odeća, od kože ili veštačke kože

Potpuno dovršavanje

Odeljak X

CELULOZA OD DRVETA ILI DRUGIH VLAKNASTIH CELULOZNIH MATERIJALA; HARTIJA I KARTON (OTPACI I OSTACI) ZA PONOVNU PRERADU; HARTIJA I KARTON I PROIZVODI OD HARTIJE I KARTONA

Glava 49

ŠTAMPANE KNJIGE, NOVINE, SLIKE I OSTALI PROIZVODI GRAFIČKE INDUSTRIJE; RUKOPISI, KUCANI TEKSTOVI I PLANOVI

Preostalo pravilo uz ovu glavu:

Ako se zemlja porekla ne može utvrditi primenom osnovnih pravila, zemlja porekla robe je zemlja iz koje potiče najveći deo materijala, utvrđen na osnovu vrednosti materijala.

Tarifni broj HS 2022

Opis robe

Osnovna pravila

ex 4910

Keramički kalendari bilo koje vrste, štampani, uključujući kalendar-blokove, dekorisani

CTH

Odeljak XI

TEKSTIL I PROIZVODI OD TEKSTILA

Glava 50

SVILA

Napomena uz ovu glavu:

Termoštampu mora pratiti štampa na transfer papiru da bi se moglo smatrati da se termoštampom stiče status robe sa poreklom.

Preostalo pravilo uz ovu glavu:

Ako se zemlja porekla ne može utvrditi primenom osnovnih pravila, zemlja porekla robe je zemlja iz koje potiče najveći deo materijala, utvrđen na osnovu vrednosti materijala.

Tarifni broj HS 2022

Opis robe

Osnovna pravila

5001

Čaure svilene bube podesne za odmotavanje

CTH

5002

Sirova svila (neupredena)

CTH

5003

Otpaci od svile (uključujući čaure nepodesne za odmotavanje, otpatke prediva i raščupane tekstilne materijale)

CTH

5004

Svileno predivo (osim prediva od otpadaka svile) nepripremljeno za prodaju na malo

Proizvodnja od:
- prirodnih vlakana nevlačenih ili nečešljanih niti drugačije pripremljenih za predenje,
- sirove svile ili otpadaka svile,
- hemijskih materijala ili tekstilne celuloze, ili
- veštačkih ili sintetičkih vlakana, sečenih, kablova od filamenata ili otpadaka od vlakana, nevlačenih ili nečešljanih niti drugačije pripremljenih za predenje,
ili
Štampanje ili bojenje prediva ili monofilamenata, nebeljenih ili prethodno beljenih, zajedno sa pripremnim ili završnim postupcima, osim končanja ili teksturiranja, čija vrednost materijala (uključujući i predivo) ne prelazi 48% cene proizvoda franko fabrika

5005

Predivo od otpadaka svile, nepripremljeno za prodaju na malo

Proizvodnja od:
- prirodnih vlakana nevlačenih ili nečešljanih niti drugačije pripremljenih za predenje,
- sirove svile ili otpadaka svile,
- hemijskih materijala ili tekstilne celuloze, ili
- veštačkih ili sintetičkih vlakana, sečenih, kablova od filamenata ili otpadaka od vlakana, nevlačenih ili nečešljanih niti drugačije pripremljenih za predenje,
ili
Štampanje ili bojenje prediva ili monofilamenata, nebeljenih ili prethodno beljenih, zajedno sa pripremnim ili završnim postupcima, osim končanja ili teksturiranja, čija vrednost materijala (uključujući i predivo) ne prelazi 48% cene proizvoda franko fabrika

5006

Svileno predivo i predivo od otpadaka svile, pripremljeno za prodaju na malo; Svileni ketgut

Kao što je navedeno za ex tarifne brojeve

ex 5006 (a)

svileni ketgut

CTH

ex 5006 (b)

ostalo

Proizvodnja od:
- prirodnih vlakana nevlačenih ili nečešljanih niti drugačije pripremljenih za predenje,
- sirove svile ili otpadaka svile,
- veštačkih ili sintetičkih vlakana, sečenih, kablova od filamenata ili otpadaka od vlakana, nevlačenih ili nečešljanih niti drugačije pripremljenih za predenje,
ili
Štampanje ili bojenje prediva ili monofilamenata, nebeljenih ili prethodno beljenih, zajedno sa pripremnim ili završnim postupcima, osim končanja ili teksturiranja, čija vrednost materijala (uključujući i predivo) ne prelazi 48% cene proizvoda franko fabrika

5007

Tkani materijali od svile ili od otpadaka svile

Proizvodnja od prediva
ili
Štampanje ili bojenje tkanina, nebeljenih ili prethodno beljenih, zajedno sa pripremnim ili završnim postupcima.

Glava 51

VUNA, FINA ILI GRUBA ŽIVOTINJSKA DLAKA; PREDIVO I TKANI MATERIJALI OD KONJSKE DLAKE

Napomena uz ovu glavu:

Termoštampu mora pratiti štampa na transfer papiru da bi se moglo smatrati da se termoštampom stiče status robe sa poreklom.

Preostalo pravilo uz ovu glavu:

Ako se zemlja porekla ne može utvrditi primenom osnovnih pravila, zemlja porekla robe je zemlja iz koje potiče najveći deo materijala, utvrđen na osnovu vrednosti materijala.

Tarifni broj HS 2022

Opis robe

Osnovna pravila

5101

Vuna, nevlačena niti češljana

Kao što je navedeno za ex tarifne brojeve

ex 5101 (a)

- masna vuna, uključujući vunu pranu na ovci

CTH

ex 5101 (b)

- odmašćena, nekarbonizovana

Proizvodnja od masne vune, uključujući i otpatke vune, čija vrednost ne prelazi 50% cene proizvoda franko fabrika

ex 5101 (v)

- karbonizovana

Proizvodnja od odmašćene, nekarbonizovane vune, čija vrednost ne prelazi 50% cene proizvoda franko fabrika

5102

Fina ili gruba životinjska dlaka, nevlačena niti češljana

CTH

5103

Otpaci od vune ili fine ili grube životinjske dlake, uključujući otpatke prediva ali isključujući raščupane tekstilne materijale

Kao što je navedeno za ex tarifne brojeve

ex 5103 (a)

karbonizovani

Proizvodnja od nekarbonizovanih otpadaka vune, čija vrednost ne prelazi 50% cene proizvoda franko fabrika

ex 5103 (b)

ostali

CTH

5104

Raščupani tekstilni materijali od vune ili fine ili grube životinjske dlake

CTH

5105

Vuna i fina ili gruba životinjska dlaka, vlačena ili češljana
(uključujući češljanu vunu u masi)

CTH

5106

Predivo od vlačene vune, nepripremljeno za prodaju na malo

Proizvodnja od:
- prirodnih vlakana nevlačenih ili nečešljanih niti drugačije pripremljenih za predenje,
- sirove svile ili otpadaka svile,
- hemijskih materijala ili tekstilne celuloze, ili
- veštačkih ili sintetičkih vlakana, sečenih, kablova od filamenata ili otpadaka od vlakana, nevlačenih ili nečešljanih niti drugačije pripremljenih za predenje,
ili
Štampanje ili bojenje prediva ili monofilamenata, nebeljenih ili prethodno beljenih, zajedno sa pripremnim ili završnim postupcima, osim končanja ili teksturiranja, čija vrednost materijala (uključujući i predivo) ne prelazi 48% cene proizvoda franko fabrika

5107

Predivo od češljane vune, nepripremljeno za prodaju na malo

Proizvodnja od:
- prirodnih vlakana nevlačenih ili nečešljanih niti drugačije pripremljenih za predenje,
- sirove svile ili otpadaka svile,
- hemijskih materijala ili tekstilne celuloze, ili
- veštačkih ili sintetičkih vlakana, sečenih, kablova od filamenata ili otpadaka od vlakana, nevlačenih ili nečešljanih niti drugačije pripremljenih za predenje,
ili
Štampanje ili bojenje prediva ili monofilamenata, nebeljenih ili prethodno beljenih, zajedno sa pripremnim ili završnim postupcima, osim končanja ili teksturiranja, čija vrednost materijala (uključujući i predivo) ne prelazi 48% cene proizvoda franko fabrika

5108

Predivo od fine životinjske dlake (vlačeno ili češljano), nepripremljeno za prodaju na malo

Proizvodnja od:
- prirodnih vlakana nevlačenih ili nečešljanih niti drugačije pripremljenih za predenje,
- sirove svile ili otpadaka svile,
- hemijskih materijala ili tekstilne celuloze, ili
- veštačkih ili sintetičkih vlakana, sečenih, kablova od filamenata ili otpadaka od vlakana, nevlačenih ili nečešljanih niti drugačije pripremljenih za predenje,
ili
Štampanje ili bojenje prediva ili monofilamenata, nebeljenih ili prethodno beljenih, zajedno sa pripremnim ili završnim postupcima, osim končanja ili teksturiranja, čija vrednost materijala (uključujući i predivo) ne prelazi 48% cene proizvoda franko fabrika

5109

Predivo od vune ili fine životinjske dlake pripremljeno za prodaju na malo

Proizvodnja od:
- prirodnih vlakana nevlačenih ili nečešljanih niti drugačije pripremljenih za predenje,
- sirove svile ili otpadaka svile,
- hemijskih materijala ili tekstilne celuloze, ili
- veštačkih ili sintetičkih vlakana, sečenih, kablova od filamenata ili otpadaka od vlakana, nevlačenih ili nečešljanih niti drugačije pripremljenih za predenje,
ili
Štampanje ili bojenje prediva ili monofilamenata, nebeljenih ili prethodno beljenih, zajedno sa pripremnim ili završnim postupcima, osim končanja ili teksturiranja, čija vrednost materijala (uključujući i predivo) ne prelazi 48% cene proizvoda franko fabrika

5110

Predivo od grube životinjske ili konjske dlake (uključujući obavijeno predivo od konjske dlake), pripremljeno ili nepripremljeno za prodaju na malo

Proizvodnja od:
- prirodnih vlakana nevlačenih ili nečešljanih niti drugačije pripremljenih za predenje,
- sirove svile ili otpadaka svile,
- hemijskih materijala ili tekstilne celuloze, ili
- veštačkih ili sintetičkih vlakana, sečenih, kablova od filamenata ili otpadaka od vlakana, nevlačenih ili nečešljanih niti drugačije pripremljenih za predenje,
ili
Štampanje ili bojenje prediva ili monofilamenata, nebeljenih ili prethodno beljenih, zajedno sa pripremnim ili završnim postupcima, osim končanja ili teksturiranja, čija vrednost materijala (uključujući i predivo) ne prelazi 48% cene proizvoda franko fabrika

5111

Tkani materijali od vlačene vune ili od vlačene fine životinjske dlake

Proizvodnja od prediva
ili
Štampanje ili bojenje tkanina, nebeljenih ili prethodno beljenih, zajedno sa pripremnim ili završnim postupcima

5112

Tkani materijali od češljane vune ili od češljane fine životinjske dlake

Proizvodnja od prediva
ili
Štampanje ili bojenje tkanina, nebeljenih ili prethodno beljenih, zajedno sa pripremnim ili završnim postupcima.

5113

Tkani materijali od grube životinjske dlake ili od konjske dlake

Proizvodnja od prediva
ili
Štampanje ili bojenje tkanina, nebeljenih ili prethodno beljenih, zajedno sa pripremnim ili završnim postupcima

Glava 52

PAMUK

Preostalo pravilo uz ovu glavu:

Ako se zemlja porekla ne može utvrditi primenom osnovnih pravila, zemlja porekla robe je zemlja iz koje potiče najveći deo materijala, utvrđen na osnovu vrednosti materijala.

Tarifni broj HS 2022

Opis robe

Osnovna pravila

5201

Pamuk, nevlačen niti češljan

Kao što je navedeno za ex tarifne brojeve

ex 5201 (a)

beljen

Proizvodnja od sirovog pamuka, čija vrednost ne prelazi 50% cene proizvoda franko fabrika

ex 5201 (b)

ostali

CTH

5202

Otpaci od pamuka (uključujući otpatke prediva i raščupane tekstilne materijale)

CTH

5203

Pamuk, vlačen ili češljan

CTH

5204

Konac za šivenje od pamuka, nepripremljen ili pripremljen za prodaju na malo

Proizvodnja od:
- prirodnih vlakana nevlačenih ili nečešljanih niti drugačije pripremljenih za predenje,
- sirove svile ili otpadaka svile,
- hemijskih materijala ili tekstilne celuloze,
veštačkih ili sintetičkih vlakana, sečenih, kablova od filamenata ili otpadaka od vlakana, nevlačenih ili nečešljanih niti drugačije pripremljenih za predenje, ili
Štampanje ili bojenje prediva ili monofilamenata, nebeljenih ili prethodno beljenih, zajedno sa pripremnim ili završnim postupcima, osim končanja ili teksturiranja, čija vrednost materijala (uključujući i predivo) ne prelazi 48% cene proizvoda franko fabrika

5205

Predivo od pamuka (osim konca za šivenje), sa sadržajem 85% ili više po masi pamuka, nepripremljeno za prodaju na malo

Proizvodnja od:
- prirodnih vlakana nevlačenih ili nečešljanih niti drugačije pripremljenih za predenje,
- sirove svile ili otpadaka svile,
- hemijskih materijala ili tekstilne celuloze, ili
- veštačkih ili sintetičkih vlakana, sečenih, kablova od filamenata ili otpadaka od vlakana, nevlačenih ili nečešljanih niti drugačije pripremljenih za predenje,
ili
Štampanje ili bojenje prediva ili monofilamenata, nebeljenih ili prethodno beljenih, zajedno sa pripremnim ili završnim postupcima, osim končanja ili teksturiranja, čija vrednost materijala (uključujući i predivo) ne prelazi 48% cene proizvoda franko fabrika

5206

Predivo od pamuka (osim konca za šivenje) sa sadržajem manje od 85% po masi pamuka, nepripremljeno za prodaju na malo

Proizvodnja od:
- prirodnih vlakana nevlačenih ili nečešljanih niti drugačije pripremljenih za predenje,
- sirove svile ili otpadaka svile,
- hemijskih materijala ili tekstilne celuloze, ili
- veštačkih ili sintetičkih vlakana, sečenih, kablova od filamenata ili otpadaka od vlakana, nevlačenih ili nečešljanih niti drugačije pripremljenih za predenje,
ili
Štampanje ili bojenje prediva ili monofilamenata, nebeljenih ili prethodno beljenih, zajedno sa pripremnim ili završnim postupcima, osim končanja ili teksturiranja, čija vrednost materijala (uključujući i predivo) ne prelazi 48% cene proizvoda franko fabrika

5207

Predivo od pamuka (osim konca za šivenje), pripremljeno za prodaju na malo

Proizvodnja od:
- prirodnih vlakana nevlačenih ili nečešljanih niti drugačije pripremljenih za predenje,
- sirove svile ili otpadaka svile,
- hemijskih materijala ili tekstilne celuloze, ili
- veštačkih ili sintetičkih vlakana, sečenih, kablova od filamenata ili otpadaka od vlakana, nevlačenih ili nečešljanih niti drugačije pripremljenih za predenje,
ili
Štampanje ili bojenje prediva ili monofilamenata, nebeljenih ili prethodno beljenih, zajedno sa pripremnim ili završnim postupcima, osim končanja ili teksturiranja, čija vrednost materijala (uključujući i predivo) ne prelazi 48% cene proizvoda franko fabrika

5208

Tkani materijali od pamuka, sa sadržajem 85% ili više po masi pamuka, površinske mase ne preko 200 g/m2

Proizvodnja od prediva
ili
Štampanje ili bojenje tkanina, nebeljenih ili prethodno beljenih, zajedno sa pripremnim ili završnim postupcima

5209

Tkani materijali od pamuka, sa sadržajem 85% ili više po masi pamuka, površinske mase preko 200 g/m2

Proizvodnja od prediva
ili
Štampanje ili bojenje tkanina, nebeljenih ili prethodno beljenih, zajedno sa pripremnim ili završnim postupcima

5210

Tkani materijali od pamuka, sa sadržajem manje od 85% po masi pamuka, u mešavini pretežno ili samo sa veštačkim ili sintetičkim vlaknima, površinske mase ne preko 200 g/m2

Proizvodnja od prediva
ili
Štampanje ili bojenje tkanina, nebeljenih ili prethodno beljenih, zajedno sa pripremnim ili završnim postupcima

5211

Tkani materijali od pamuka, sa sadržajem manje od 85% po masi pamuka, u mešavini pretežno ili samo sa veštačkim ili sintetičkim vlaknima, površinske mase preko 200 g/m2

Proizvodnja od prediva
ili
Štampanje ili bojenje tkanina, nebeljenih ili prethodno beljenih, zajedno sa pripremnim ili završnim postupcima

5212

Ostali tkani materijali od pamuka

Proizvodnja od prediva
ili
Štampanje ili bojenje tkanina, nebeljenih ili prethodno beljenih, zajedno sa pripremnim ili završnim postupcima

Glava 53

OSTALA BILJNA TEKSTILNA VLAKNA; PREDIVO OD HARTIJE I TKANI MATERIJALI OD PREDIVA OD HARTIJE

Preostalo pravilo uz ovu glavu:

Ako se zemlja porekla ne može utvrditi primenom osnovnih pravila, zemlja porekla robe je zemlja iz koje potiče najveći deo materijala, utvrđen na osnovu vrednosti materijala.

Tarifni broj HS 2022

Opis robe

Osnovna pravila

5301

Lan, sirov ili obrađen ali nepreden; Kučina i otpaci od lana (uključujući i otpatke prediva i raščupane tekstilne materijale)

CTH

5302

Konoplja (Cannabis sativa L.), sirova ili obrađena ali nepredena; Kučina i otpaci od konoplje (uključujući i otpatke prediva i raščupane ostatke)

CTH

5303

Juta i ostala tekstilna likasta vlakna (isključujući lan, konoplju i ramiju), sirova ili obrađena ali nepredena; Kučina i otpaci od ovih vlakana (uključujući otpatke prediva i raščupane tekstilne materijale)

CTH

[5304]

 

 

5305

Kokosovo vlakno, abaka (manila ili Musa textilis Nee), ramija i ostala biljna tekstilna vlakna na drugom mestu nepomenuta niti obuhvaćena, sirova ili obrađena ali nepredena; Kučina, kratka vlakna ostala od češljanja i otpaci od tih vlakana (uključujući otpatke prediva i raščupane tekstilne materijale).

CTH

5306

Predivo od lana

Proizvodnja od:
- prirodnih vlakana nevlačenih ili nečešljanih niti drugačije pripremljenih za predenje,
- sirove svile ili otpadaka svile,
- hemijskih materijala ili tekstilne celuloze, ili
- veštačkih ili sintetičkih vlakana, sečenih, kablova od filamenata ili otpadaka od vlakana, nevlačenih ili nečešljanih niti drugačije pripremljenih za predenje,
ili
Štampanje ili bojenje prediva ili monofilamenata, nebeljenih ili prethodno beljenih, zajedno sa pripremnim ili završnim postupcima, osim končanja ili teksturiranja, čija vrednost materijala (uključujući i predivo) ne prelazi 48% cene proizvoda franko fabrika

5307

Predivo od jute ili ostalih tekstilnih likastih vlakana iz tarifnog broja 5303

Proizvodnja od:
- prirodnih vlakana nevlačenih ili nečešljanih niti drugačije pripremljenih za predenje,
- sirove svile ili otpadaka svile,
- hemijskih materijala ili tekstilne celuloze, ili
- veštačkih ili sintetičkih vlakana, sečenih, kablova od filamenata ili otpadaka od vlakana, nevlačenih ili nečešljanih niti drugačije pripremljenih za predenje,
ili
Štampanje ili bojenje prediva ili monofilamenata, nebeljenih ili prethodno beljenih, zajedno sa pripremnim ili završnim postupcima, osim končanja ili teksturiranja, čija vrednost materijala (uključujući i predivo) ne prelazi 48% cene proizvoda franko fabrika

5308

Predivo od ostalih biljnih tekstilnih vlakana; Predivo od hartije

Kao što je navedeno za ex tarifne brojeve

ex 5308 (a)

- predivo od ostalih biljnih tekstilnih vlakana

Proizvodnja od:
- prirodnih vlakana nevlačenih ili nečešljanih niti drugačije pripremljenih za predenje,
- sirove svile ili otpadaka svile,
- hemijskih materijala ili tekstilne celuloze, ili
- veštačkih ili sintetičkih vlakana, sečenih, kablova od filamenata ili otpadaka od vlakana, nevlačenih ili nečešljanih niti drugačije pripremljenih za predenje,
ili
Štampanje ili bojenje prediva ili monofilamenata, nebeljenih ili prethodno beljenih, zajedno sa pripremnim ili završnim postupcima, osim končanja ili teksturiranja, čija vrednost materijala (uključujući i predivo) ne prelazi 48% cene proizvoda franko fabrika

ex 5308 (b)

- predivo od hartije

CTH

5309

Tkani materijali od lana

Proizvodnja od prediva
ili
Štampanje ili bojenje tkanina, nebeljenih ili prethodno beljenih, zajedno sa pripremnim ili završnim postupcima

5310

Tkani materijali od jute ili ostalih tekstilnih likastih vlakana iz tarifnog broja 5303

Proizvodnja od prediva
ili
Štampanje ili bojenje tkanina, nebeljenih ili prethodno beljenih, zajedno sa pripremnim ili završnim postupcima

5311

Tkani materijali od ostalih biljnih tekstilnih vlakana; Tkani materijali od prediva od hartije.

Kao što je navedeno za ex tarifne brojeve

ex 5311 (a)

tkani materijali od ostalih biljnih tekstilnih vlakana

Proizvodnja od prediva
ili
Štampanje ili bojenje tkanina, nebeljenih ili prethodno beljenih, zajedno sa pripremnim ili završnim postupcima

ex 5311 (b)

tkani materijali od prediva od hartije

CTH

Glava 54

VEŠTAČKI ILI SINTETIČKI FILAMENTI; TRAKE I SLIČNO OD VEŠTAČKIH ILI SINTETIČKIH TEKSTILNIH MATERIJALA

Preostalo pravilo uz ovu glavu:

Ako se zemlja porekla ne može utvrditi primenom osnovnih pravila, zemlja porekla robe je zemlja iz koje potiče najveći deo materijala, utvrđen na osnovu vrednosti materijala.

Tarifni broj HS 2022

Opis robe

Osnovna pravila

5401

Konac za šivenje od veštačkih ili sintetičkih filamenata, pripremljen ili nepripremljen za prodaju na malo

Proizvodnja od:
- prirodnih vlakana nevlačenih ili nečešljanih niti drugačije pripremljenih za predenje,
- sirove svile ili otpadaka svile,
- hemijskih materijala ili tekstilne celuloze, ili
- veštačkih ili sintetičkih vlakana, sečenih, kablova od filamenata ili otpadaka od vlakana, nevlačenih ili nečešljanih niti drugačije pripremljenih za predenje,
ili
Štampanje ili bojenje prediva ili monofilamenata, nebeljenih ili prethodno beljenih, zajedno sa pripremnim ili završnim postupcima, osim končanja ili teksturiranja, čija vrednost materijala (uključujući i predivo) ne prelazi 48% cene proizvoda franko fabrika

5402

Predivo od sintetičkih filamenata (osim konca za šivenje), nepripremljeno za prodaju na malo, uključujući sintetičke monofilamente finoće manje od 67 deciteksa

Proizvodnja od:
- prirodnih vlakana nevlačenih ili nečešljanih niti drugačije pripremljenih za predenje,
- sirove svile ili otpadaka svile,
- hemijskih materijala ili tekstilne celuloze, ili
- veštačkih ili sintetičkih vlakana, sečenih, kablova od filamenata ili otpadaka od vlakana, nevlačenih ili nečešljanih niti drugačije pripremljenih za predenje,
ili
Štampanje ili bojenje prediva ili monofilamenata, nebeljenih ili prethodno beljenih, zajedno sa pripremnim ili završnim postupcima, osim končanja ili teksturiranja, čija vrednost materijala (uključujući i predivo) ne prelazi 48% cene proizvoda franko fabrika

5403

Predivo od veštačkih filamenata (osim konca za šivenje), nepripremljeno za prodaju na malo, uključujući veštačke monofilamente finoće manje od 67 deciteksa

Proizvodnja od:
- prirodnih vlakana nevlačenih ili nečešljanih niti drugačije pripremljenih za predenje,
- sirove svile ili otpadaka svile,
- hemijskih materijala ili tekstilne celuloze, ili
- veštačkih ili sintetičkih vlakana, sečenih, kablova od filamenata ili otpadaka od vlakana, nevlačenih ili nečešljanih niti drugačije pripremljenih za predenje,
ili
Štampanje ili bojenje prediva ili monofilamenata, nebeljenih ili prethodno beljenih, zajedno sa pripremnim ili završnim postupcima, osim končanja ili teksturiranja, čija vrednost materijala (uključujući i predivo) ne prelazi 48% cene proizvoda franko fabrika

5404

Sintetički monofilamenti, finoće od 67 deciteksa ili veće i čija dimenzija poprečnog preseka ne prelazi 1 mm; Trake i slično (npr. veštačka slama) od sintetičkih tekstilnih materijala prividne širine ne preko 5 mm

Proizvodnja od:
- prirodnih vlakana nevlačenih ili nečešljanih niti drugačije pripremljenih za predenje,
- sirove svile ili otpadaka svile,
- hemijskih materijala ili tekstilne celuloze, ili
- veštačkih ili sintetičkih vlakana, sečenih, kablova od filamenata ili otpadaka od vlakana, nevlačenih ili nečešljanih niti drugačije pripremljenih za predenje,
ili
Štampanje ili bojenje prediva ili monofilamenata, nebeljenih ili prethodno beljenih, zajedno sa pripremnim ili završnim postupcima, osim končanja ili teksturiranja, čija vrednost materijala (uključujući i predivo) ne prelazi 48% cene proizvoda franko fabrika

5405

Veštački monofilamenti, finoće od 67 deciteksa ili veće i čija dimenzija poprečnog preseka ne prelazi 1 mm; Trake i slično (npr. veštačka slama) od veštačkih tekstilnih materijala prividne širine ne preko 5 mm

Proizvodnja od:
- prirodnih vlakana nevlačenih ili nečešljanih niti drugačije pripremljenih za predenje, - sirove svile ili otpadaka svile,
- hemijskih materijala ili tekstilne celuloze, ili
- veštačkih ili sintetičkih vlakana, sečenih, kablova od filamenata ili otpadaka od vlakana, nevlačenih ili nečešljanih niti drugačije pripremljenih za predenje,
ili
Štampanje ili bojenje prediva ili monofilamenata, nebeljenih ili prethodno beljenih, zajedno sa pripremnim ili završnim postupcima, osim končanja ili teksturiranja, čija vrednost materijala (uključujući i predivo) ne prelazi 48% cene proizvoda franko fabrika

5406

Predivo od veštačkih ili sintetičkih filamenata (osim konca za šivenje), pripremljeno za prodaju na malo

Proizvodnja od:
- prirodnih vlakana nevlačenih ili nečešljanih niti drugačije pripremljenih za predenje,
- sirove svile ili otpadaka svile,
- hemijskih materijala ili tekstilne celuloze, ili
- veštačkih ili sintetičkih vlakana, sečenih, kablova od filamenata ili otpadaka od vlakana, nevlačenih ili nečešljanih niti drugačije pripremljenih za predenje,
ili
Štampanje ili bojenje prediva ili monofilamenata, nebeljenih ili prethodno beljenih, zajedno sa pripremnim ili završnim postupcima, osim končanja ili teksturiranja, čija vrednost materijala (uključujući i predivo) ne prelazi 48% cene proizvoda franko fabrika

5407

Tkani materijali od prediva od sintetičkih filamenata, uključujući tkane materijale dobijene od proizvoda iz tarifnog broja 5404

Proizvodnja od prediva
ili
Štampanje ili bojenje tkanina, nebeljenih ili prethodno beljenih, zajedno sa pripremnim ili završnim postupcima

5408

Tkani materijali od prediva od veštačkih filamenata, uključujući tkane materijale dobijene od proizvoda iz tarifnog broja 5405

Proizvodnja od prediva
ili
Štampanje ili bojenje tkanina, nebeljenih ili prethodno beljenih, zajedno sa pripremnim ili završnim postupcima

Glava 55

VEŠTAČKA ILI SINTETIČKA VLAKNA, SEČENA

Napomena uz ovu glavu:

Termoštampu mora pratiti štampa na transfer papiru da bi se moglo smatrati da se termoštampom stiče status robe sa poreklom.

Preostalo pravilo uz ovu glavu:

Ako se zemlja porekla ne može utvrditi primenom osnovnih pravila, zemlja porekla robe je zemlja iz koje potiče najveći deo materijala, utvrđen na osnovu vrednosti materijala.

Tarifni broj HS 2022

Opis robe

Osnovna pravila

5501

Kablovi od sintetičkih filamenata

Proizvodnja od hemijskih materijala ili tekstilne celuloze

5502

Kablovi od veštačkih filamenata

Proizvodnja od hemijskih materijala ili tekstilne celuloze

5503

Sintetička vlakna sečena, nevlačena, nečešljana niti drugačije obrađena za predenje

Proizvodnja od hemijskih materijala ili tekstilne celuloze

5504

Veštačka vlakna sečena, nevlačena, nečešljana niti drugačije obrađena za predenje

Proizvodnja od hemijskih materijala ili tekstilne celuloze

5505

Otpaci (uključujući kratka vlakna ostala od češljanja, otpatke od prediva i raščupane tekstilne materijale) od veštačkih ili sintetičkih vlakana

Proizvodnja od hemijskih materijala ili tekstilne celuloze

5506

Sintetička vlakna sečena (štapel), vlačena, češljana ili drugačije obrađena za predenje

Proizvodnja od hemijskih materijala ili tekstilne celuloze ili otpadaka iz tarifnog broja 5505

5507

Veštačka vlakna sečena, vlačena, češljana ili drugačije obrađena za predenje

Proizvodnja od hemijskih materijala ili tekstilne celuloze ili otpadaka iz tarifnog broja 5505

5508

Konac za šivenje od veštačkih ili sintetičkih vlakana, sečenih (štapel), pripremljen ili nepripremljen za prodaju na malo

Proizvodnja od:
- prirodnih vlakana nevlačenih ili nečešljanih niti drugačije pripremljenih za predenje,
- sirove svile ili otpadaka svile,
- hemijskih materijala ili tekstilne celuloze, ili
- veštačkih ili sintetičkih vlakana, sečenih, kablova od filamenata ili otpadaka od vlakana, nevlačenih ili nečešljanih niti drugačije pripremljenih za predenje,
ili
Štampanje ili bojenje prediva ili monofilamenata, nebeljenih ili prethodno beljenih, zajedno sa pripremnim ili završnim postupcima, osim končanja ili teksturiranja, čija vrednost materijala (uključujući i predivo) ne prelazi 48% cene proizvoda franko fabrika

5509

Predivo (osim konca za šivenje) od sintetičkih vlakana sečenih, nepripremljeno za prodaju na malo

Proizvodnja od:
- prirodnih vlakana nevlačenih ili nečešljanih niti drugačije pripremljenih za predenje,
- sirove svile ili otpadaka svile,
- hemijskih materijala ili tekstilne celuloze, ili
- veštačkih ili sintetičkih vlakana, sečenih, kablova od filamenata ili otpadaka od vlakana, nevlačenih ili nečešljanih niti drugačije pripremljenih za predenje,
ili
Štampanje ili bojenje prediva ili monofilamenata, nebeljenih ili prethodno beljenih, zajedno sa pripremnim ili završnim postupcima, osim končanja ili teksturiranja, čija vrednost materijala (uključujući i predivo) ne prelazi 48% cene proizvoda franko fabrika

5510

Predivo (osim konca za šivenje) od veštačkih vlakana sečenih, nepripremljeno za prodaju na malo

Proizvodnja od:
- prirodnih vlakana nevlačenih ili nečešljanih niti drugačije pripremljenih za predenje,
- sirove svile ili otpadaka svile,
- hemijskih materijala ili tekstilne celuloze, ili
- veštačkih ili sintetičkih vlakana, sečenih, kablova od filamenata ili otpadaka od vlakana, nevlačenih ili nečešljanih niti drugačije pripremljenih za predenje,
ili
Štampanje ili bojenje prediva ili monofilamenata, nebeljenih ili prethodno beljenih, zajedno sa pripremnim ili završnim postupcima, osim končanja ili teksturiranja, čija vrednost materijala (uključujući i predivo) ne prelazi 48% cene proizvoda franko fabrika

5511

Predivo (osim konca za šivenje) od veštačkih ili sintetičkih vlakana sečenih, pripremljeno za prodaju na malo

Proizvodnja od:
- prirodnih vlakana nevlačenih ili nečešljanih niti drugačije pripremljenih za predenje,
- sirove svile ili otpadaka svile,
- hemijskih materijala ili tekstilne celuloze, ili
- veštačkih ili sintetičkih vlakana, sečenih, kablova od filamenata ili otpadaka od vlakana, nevlačenih ili nečešljanih niti drugačije pripremljenih za predenje,
ili
Štampanje ili bojenje prediva ili monofilamenata, nebeljenih ili prethodno beljenih, zajedno sa pripremnim ili završnim postupcima, osim končanja ili teksturiranja, čija vrednost materijala (uključujući i predivo) ne prelazi 48% cene proizvoda franko fabrika

5512

Tkani materijali sa sadržajem 85% ili više po masi sintetičkih vlakana, sečenih

Proizvodnja od prediva
ili
Štampanje ili bojenje tkanina, nebeljenih ili prethodno beljenih, zajedno sa pripremnim ili završnim postupcima

5513

Tkani materijali od sintetičkih vlakana, sečenih, sa sadržajem manje od 85% po masi tih vlakana, u mešavini pretežno ili samo sa pamukom, površinske mase ne preko 170 g/m2

Proizvodnja od prediva
ili
Štampanje ili bojenje tkanina, nebeljenih ili prethodno beljenih, zajedno sa pripremnim ili završnim postupcima

5514

Tkani materijali od sintetičkih vlakana, sečenih, sa sadržajem manje od 85% po masi tih vlakana, u mešavini pretežno ili samo sa pamukom, površinske mase preko 170 g/m2

Proizvodnja od prediva
ili
Štampanje ili bojenje tkanina, nebeljenih ili prethodno beljenih, zajedno sa pripremnim ili završnim postupcima

5515

Ostali tkani materijali od sintetičkih vlakana sečenih

Proizvodnja od prediva
ili
Štampanje ili bojenje tkanina, nebeljenih ili prethodno beljenih, zajedno sa pripremnim ili završnim postupcima

5516

Tkani materijali od veštačkih vlakana sečenih

Proizvodnja od prediva
ili
Štampanje ili bojenje tkanina, nebeljenih ili prethodno beljenih, zajedno sa pripremnim ili završnim postupcima

Glava 56

VATA, FILC I NETKANI TEKSTIL; SPECIJALNA PREDIVA; KANAPI, UŽAD, KONOPCI I KABLOVI I PROIZVODI OD NJIH

Napomena uz ovu glavu:

Termoštampu mora pratiti štampa na transfer papiru da bi se moglo smatrati da se termoštampom stiče status robe sa poreklom.

Preostalo pravilo uz ovu glavu:

Ako se zemlja porekla ne može utvrditi primenom osnovnih pravila, zemlja porekla robe je zemlja iz koje potiče najveći deo materijala, utvrđen na osnovu vrednosti materijala.

Tarifni broj HS 2022

Opis robe

Osnovna pravila

5601

Vata od tekstilnih materijala i proizvodi od vate; Tekstilna vlakna dužine ne preko 5 mm (flok); Prah i nope, od tekstilnog materijala.

Proizvodnja od vlakana

5602

Filc, impregnisan ili neimpregnisan, prevučen ili neprevučen, prekriven ili neprekriven, laminiran ili nelaminiran

Kao što je navedeno za ex tarifne brojeve

ex 5602 (a)

štampan, bojen (uključujući bojen u belo)

Proizvodnja od vlakana
ili
Štampanje ili bojenje filca, nebeljenog ili prethodno beljenog, zajedno sa pripremnim ili završnim postupcima

ex 5602 (b)

impregnisan, prevučen, prekriven ili laminiran

Impregnacija, prevlačenje, prekrivanje ili laminiranje filca, nebeljenog

ex 5602 (v)

- ostalo

Proizvodnja od vlakana

5603

Netkani tekstil, impregnisan ili neimpregnisan, prevučen ili neprevučen, prekriven ili neprekriven, laminiran ili nelaminiran

Kao što je navedeno za ex tarifne brojeve

ex 5603 (a)

- netkani tekstil: štampan, bojen (uključujući bojen u belo)

Proizvodnja od vlakana
ili
Štampanje ili bojenje nebeljenog ili prethodno beljenog netkanog tekstila, zajedno sa pripremnim ili završnim postupcima

ex 5603 (b)

impregnisan, prevučen, prekriven ili laminiran

Impregnacija, prevlačenje, prekrivanje ili laminiranje netkanog tekstila, nebeljenog

ex 5603 (v)

- ostalo

Proizvodnja od vlakana

5604

Niti i kord od kaučuka, prekriveni tekstilnim materijalom; Tekstilno predivo, trake i slično iz tarifnog broja 5404 ili 5405, impregnisani, prevučeni, obloženi kaučukom ili gumom ili plastičnom masom

Kao što je navedeno za ex tarifne brojeve

ex 5604 (a)

- niti i kord od kaučuka, prekriveni tekstilnim materijalom

Proizvodnja od niti i korda od kaučuka, neprekrivenih tekstilnim materijalom

ex 5604 (b)

- ostalo

Impregnacija, prevlačenje, prekrivanje ili oblaganje tekstilnog prediva, traka i slično, nebeljenih

5605

Metalizovano predivo, obavijeno ili neobavijeno, koje predstavlja tekstilno predivo, traku ili slično iz tarifnog broja 5404 ili 5405, kombinovano sa metalom u obliku niti, traka ili praha ili prekriveno metalom

CTH

5606

Obavijeno predivo, trake i slično iz tarifnog broja 5404 ili 5405 (osim onih iz tarifnog broja 5605 i obavijenog prediva od konjske dlake); Žanila predivo (uključujući flokovano žanila predivo); Efektno zamkasto predivo

CTH

5607

Kanapi, užad, konopci i kablovi, upleteni ili neupleteni, isprepleteni ili neisprepleteni i impregnisani ili neimpregnisani prevučeni ili neprevučeni, prekriveni ili neprekriveni, obloženi ili neobloženi sa kaučukom ili plastičnim masama

Proizvodnja od vlakana, prediva od kokosovih vlakana, sintetičkih ili veštačkih vlakana ili monofilamenata

5608

Čvorovani mrežasti proizvodi od kanapa, užadi ili konopaca; Gotove ribarske mreže i ostale gotove mreže od tekstilnog materijala

CTH

5609

Proizvodi od prediva, traka ili slično iz iz tarifnog broja 5404 ili 5405, kanapa, užadi, konopaca ili kablova, nepomenuti niti obuhvaćeni na drugom mestu

Proizvodnja od vlakana, prediva od kokosovih vlakana, sintetičkih ili veštačkih vlakana ili monofilamenata

Glava 57

TEPISI I OSTALI TEKSTILNI PODNI POKRIVAČI

Preostalo pravilo uz ovu glavu:

Ako se zemlja porekla ne može utvrditi primenom osnovnih pravila, zemlja porekla robe je zemlja iz koje potiče najveći deo materijala, utvrđen na osnovu vrednosti materijala.

Tarifni broj HS 2022

Opis robe

Osnovna pravila

5701

Tepisi i ostali tekstilni podni pokrivači, čvorovani, bilo da jesu ili nisu gotovi

CTH

5702

Tepisi i ostali tekstilni podni pokrivači, tkani, netaftovani niti flokovani, bilo da jesu ili nisu gotovi, uključujući "Kelim", "Šumak", "Karamani" i slične ručno tkane prostirke

CTH

5703

Tepisi i ostali tekstilni podni pokrivači, taftovani, bilo da jesu ili nisu gotovi

CTH

5704

Tepisi i ostali tekstilni podni pokrivači od filca, netaftovani niti flokovani, bilo da jesu ili nisu gotovi

Proizvodnja od vlakana

5705

Ostali tepisi i ostali tekstilni podni pokrivači, bilo da jesu ili nisu gotovi

CTH

Glava 58

SPECIJALNE TKANINE; TAFTOVANI TEKSTILNI PROIZVODI; ČIPKE; TAPISERIJE; POZAMANTERIJA; VEZ

Preostalo pravilo uz ovu glavu:

Ako se zemlja porekla ne može utvrditi primenom osnovnih pravila, zemlja porekla robe je zemlja iz koje potiče najveći deo materijala, utvrđen na osnovu vrednosti materijala.

Tarifni broj HS 2022

Opis robe

Osnovna pravila

5801

Tkani materijali sa florom i materijali od žanila prediva, osim tkanina iz tarifnog broja 5802 ili 5806

Kao što je navedeno za ex tarifne brojeve

ex 5801 (a)

- tkanine: štampane, bojene (uključujući bojene u belo)

Proizvodnja od prediva
ili
Štampanje ili bojenje nebeljenih ili prethodno beljenih tkanina, filca ili netkanog tekstila, zajedno sa pripremnim ili završnim postupcima

ex 5801 (b)

- impregnisane, prevučene ili prekrivene

Proizvodnja od nebeljenih tkanina, filca ili netkanog tekstila

ex 5801 (v)

- ostalo

Proizvodnja od prediva

5802

Frotir i slični tkani zamkasti materijali, osim uzanih materijala iz tarifnog broja 5806; Taftovani tekstilni materijali, osim proizvoda iz tarifnog broja 5703

Kao što je navedeno za ex tarifne brojeve

ex 5802 (a)

- tkanine: štampane, bojene (uključujući bojene u belo)

Proizvodnja od prediva
ili
Štampanje ili bojenje nebeljenih ili prethodno beljenih tkanina, filca ili netkanog tekstila, zajedno sa pripremnim ili završnim postupcima

ex 5802 (b)

- impregnisane, prevučene ili prekrivene

Proizvodnja od nebeljenih tkanina, filca ili netkanog tekstila

ex 5802 (v)

- ostalo

Proizvodnja od prediva

5803

Gaza, osim uzanih materijala iz tarifnog broja 5806

Kao što je navedeno za ex tarifne brojeve

ex 5803 (a)

- štampana, bojena (uključujući bojena u belo)

Proizvodnja od prediva
ili
Štampanje ili bojenje nebeljenih ili prethodno beljenih tkanina, filca ili netkanog tekstila, zajedno sa pripremnim ili završnim postupcima

ex 5803 (b)

- impregnisana, prevučena ili prekrivena

Proizvodnja od nebeljenih tkanina, filca ili netkanog tekstila

ex 5803 (v)

- ostalo

Proizvodnja od prediva

5804

Til i ostali mrežasti materijali, osim tkanih, pletenih ili kukičanih; Čipka u metraži, u trakama ili u motivima, osim materijala iz tar. br. 6002 do 6006

Kao što je navedeno za ex tarifne brojeve

ex 5804 (a)

- štampani, bojeni (uključujući bojene u belo)

Proizvodnja od prediva
ili
Štampanje ili bojenje nebeljenih ili prethodno beljenih tkanina, filca ili netkanog tekstila, zajedno sa pripremnim ili završnim postupcima

ex 5804 (b)

- impregnisani, prevučeni ili prekriveni

Proizvodnja od nebeljenih tkanina, filca ili netkanog tekstila

ex 5804 (v)

- ostalo

Proizvodnja od prediva

5805

Tapiserije ručno tkane (vrsta: goblena, flandrija, obison, bove i slične) i tapiserije iglom rađene (npr. sitnim bodom, unakrsnim bodom), bilo da jesu ili nisu gotove

Kao što je navedeno za ex tarifne brojeve

ex 5805 (a)

- štampane ili bojene

Proizvodnja od prediva
ili
Štampanje ili bojenje nebeljenih ili prethodno beljenih tkanina, filca ili netkanog tekstila, zajedno sa pripremnim ili završnim postupcima

ex 5805 (b)

- impregnisane, prevučene ili prekrivene

Proizvodnja od nebeljenih tkanina, filca ili netkanog tekstila

ex 5805 (v)

- ostalo

Proizvodnja od prediva

5806

Uzani tkani materijali, osim proizvoda iz tarifnog broja 5807; Uzani materijali koji se sastoje samo od osnove čije su niti međusobno zalepljene (bolduk)

Kao što je navedeno za ex tarifne brojeve

ex 5806 (a)

- štampani, bojeni (uključujući bojene u belo)

Proizvodnja od prediva
ili
Štampanje ili bojenje nebeljenih ili prethodno beljenih tkanina, filca ili netkanog tekstila, zajedno sa pripremnim ili završnim postupcima

ex 5806 (b)

- impregnisani, prevučeni ili prekriveni

Proizvodnja od nebeljenih tkanina, filca ili netkanog tekstila

ex 5806 (v)

- ostalo

Proizvodnja od prediva

5807

Etikete, značke i slični proizvodi od tekstilnih materijala, u metraži, trakama ili sečeni u određene oblike ili veličine, nevezeni

Kao što je navedeno za ex tarifne brojeve

ex 5807 (a)

- štampani, bojeni (uključujući bojene u belo)

Proizvodnja od prediva
ili
Štampanje ili bojenje nebeljenih ili prethodno beljenih tkanina, filca ili netkanog tekstila, zajedno sa pripremnim ili završnim postupcima

ex 5807 (b)

- impregnisani, prevučeni ili prekriveni

Proizvodnja od nebeljenih tkanina, filca ili netkanog tekstila

ex 5807 (v)

- ostalo

Proizvodnja od prediva

5808

Pletenice u metraži; Ukrasna pozamanterija u metraži, nevezena, osim pletene ili kukičane; Kićanke, pomponi i slični proizvodi.

Kao što je navedeno za ex tarifne brojeve

ex 5808 (a)

- štampani, bojeni (uključujući bojene u belo)

Proizvodnja od prediva
ili
Štampanje ili bojenje nebeljenih ili prethodno beljenih tkanina, filca ili netkanog tekstila, zajedno sa pripremnim ili završnim postupcima

ex 5808 (b)

- impregnisani, prevučeni ili prekriveni

Proizvodnja od nebeljenih tkanina, filca ili netkanog tekstila

ex 5808 (v)

- ostalo

Proizvodnja od prediva

5809

Tkani materijali od niti od metala i tkanine od metalizovanog prediva iz tarifnog broja 5605, koje se koriste za izradu odeće, unutrašnje opremanje i slično, nepomenute niti obuhvaćene na drugom mestu

Kao što je navedeno za ex tarifne brojeve

ex 5809 (a)

- štampani, bojeni (uključujući bojene u belo)

Proizvodnja od prediva
ili
Štampanje ili bojenje nebeljenih ili prethodno beljenih tkanina, filca ili netkanog tekstila, zajedno sa pripremnim ili završnim postupcima

ex 5809 (b)

- impregnisani, prevučeni ili prekriveni

Proizvodnja od nebeljenih tkanina, filca ili netkanog tekstila

ex 5809 (v)

- ostalo

Proizvodnja od prediva

5810

Vez u metraži, u trakama ili motivima

Proizvodnja u kojoj vrednost svih upotrebljenih materijala nije veća od 50% cene proizvoda franko fabrika

5811

Prošiveni tekstilni proizvodi u metraži koji se sastoje od jednog ili više slojeva tekstilnih materijala, spojenih sa materijalom za punjenje prošivanjem ili na drugi način, osim veza iz tarifnog broja 5810

Kao što je navedeno za ex tarifne brojeve

ex 5811 (a)

- štampani, bojeni (uključujući bojene u belo)

Proizvodnja od prediva
ili
Štampanje ili bojenje nebeljenih ili prethodno beljenih tkanina, filca ili netkanog tekstila, zajedno sa pripremnim ili završnim postupcima

ex 5811 (b)

- impregnisani, prevučeni ili prekriveni

Proizvodnja od nebeljenih tkanina, filca ili netkanog tekstila

ex 5811 (v)

- ostalo

Proizvodnja od prediva

Glava 59

TEKSTILNE TKANINE, IMPREGNISANE, PREVUČENE, PREKRIVENE ILI LAMINIRANE, TEKSTILNI PROIZVODI VRSTA POGODNIH ZA TEHNIČKE SVRHE

Preostalo pravilo uz ovu glavu:

Ako se zemlja porekla ne može utvrditi primenom osnovnih pravila, zemlja porekla robe je zemlja iz koje potiče najveći deo materijala, utvrđen na osnovu vrednosti materijala.

Tarifni broj HS 2022

Opis robe

Osnovna pravila

5901

Tekstilne tkanine prevučene lepkom ili skrobnim materijama, koje se koriste za spoljno povezivanje knjiga ili za slične svrhe; Tkanine za precrtavanje; Kanafas pripremljen za slikanje; Krute tkanine (bugram) i slične krute tekstilne tkanine koje se koriste za izradu šešira

Proizvodnja od nebeljenih tkanina

5902

Kord materijal za spoljašnje pneumatske gume od prediva od najlona ili drugih poliamida, poliestera ili viskoznog rajona velike jačine

Proizvodnja od prediva

5903

Tekstilne tkanine impregnisane, prevučene, prekrivene ili laminirane plastičnom masom, osim onih iz tarifnog broja 5902

Proizvodnja od nebeljenih tkanina
ili
Štampanje ili bojenje tkanina, nebeljenih ili prethodno beljenih, zajedno sa pripremnim ili završnim postupcima

5904

Linoleum, neisečen ili sečen u oblike; Podni pokrivači koji se sastoje od prevlake ili pokrivke nanete na tekstilnu podlogu, neisečeni ili sečeni u oblike

Proizvodnja od nebeljenih tkanina, filca ili netkanog tekstila

5905

Zidni tapeti od tekstila

Proizvodnja od nebeljenih tkanina
ili
Štampanje ili bojenje tkanina, nebeljenih ili prethodno beljenih, zajedno sa pripremnim ili završnim postupcima

5906

Kaučukovane ili gumirane tekstilne tkanine, osim onih iz tarifnog broja 5902

Proizvodnja od beljenih tkanina, pletenih ili kukičanih, ili od drugih nebeljenih tkanina

5907

Tekstilne tkanine na drugi način impregnisane, prevučene ili prekrivene; Oslikana platna za pozorišne kulise, tekstilne pozadine za ateljea ili slično

Proizvodnja od nebeljenih tkanina
ili
Štampanje ili bojenje tkanina, nebeljenih ili prethodno beljenih, zajedno sa pripremnim ili završnim postupcima

5908

Fitilji od tekstila, tkani, upleteni ili pleteni, za lampe, peći, upaljače, sveće ili slično; Čarapice za gasno osvetljenje ili cevasto pleteni materijali za čarapice, impregnisani ili neimpregnisani.

Proizvodnja od prediva

5909

Tekstilna creva i slični tekstilni cevasti proizvodi, sa ili bez obloga, ojačanja ili pribora od drugog materijala

Proizvodnja od prediva ili vlakana

5910

Trake ili remenje od tekstilnih materijala, za transportne ili transmisione svrhe, impregnisane ili neimpregnisane, prevučene ili neprevučene, prekrivene ili neprekrivene ili laminirane ili nelaminirane plastičnom masom, ojačane ili neojačane metalom ili drugim materijalom

Proizvodnja od prediva ili vlakana

5911

Tekstilni proizvodi i predmeti za tehničke svrhe, navedeni u Napomeni 8. uz ovu glavu

Kao što je navedeno za ex tarifne brojeve

ex 5911 (a)

- diskovi i krune za poliranje osim od filca

Proizvodnja od prediva, ostataka vlakana ili krpa iz tarifnog broja 6310

ex 5911 (b)

- ostalo

Proizvodnja od prediva ili vlakana

Glava 60

PLETENI ILI KUKIČANI MATERIJALI

Preostalo pravilo uz ovu glavu:

Ako se zemlja porekla ne može utvrditi primenom osnovnih pravila, zemlja porekla robe je zemlja iz koje potiče najveći deo materijala, utvrđen na osnovu vrednosti materijala.

Tarifni broj HS 2022

Opis robe

Osnovna pravila

6001

Materijali sa florom, uključujući materijale sa visokim florom i zamkaste materijale, pleteni ili kukičani

Kao što je navedeno za ex tarifne brojeve

ex 6001 (a)

- štampani, bojeni (uključujući bojene u belo)

Proizvodnja od prediva
ili
Štampanje ili bojenje tkanina, nebeljenih ili prethodno beljenih, zajedno sa pripremnim ili završnim postupcima

ex 6001 (b)

- ostalo

Proizvodnja od prediva

6002

Ostali pleteni ili kukičani materijali širine ne preko 30 cm, sa sadržajem 5% ili više po masi elastomernog prediva ili niti od kaučuka, osim onih iz tarifnog broja 6001

Kao što je navedeno za ex tarifne brojeve

ex 6002 (a)

- štampani, bojeni (uključujući bojene u belo)

Proizvodnja od prediva
ili
Štampanje ili bojenje tkanina, nebeljenih ili prethodno beljenih, zajedno sa pripremnim ili završnim postupcima

ex 6002 (b)

- ostalo

Proizvodnja od prediva

6003

Pleteni ili kukičani materijali širine ne preko 30 cm, osim onih iz tar. br. 6001 ili 6002

Kao što je navedeno za ex tarifne brojeve

ex 6003 (a)

štampani, bojeni (uključujući bojene u belo)

Proizvodnja od prediva
ili
Štampanje ili bojenje tkanina, nebeljenih ili prethodno beljenih, zajedno sa pripremnim ili završnim postupcima

ex 6003 (b)

- ostalo

Proizvodnja od prediva

6004

Pleteni ili kukičani materijali širine veće od 30 cm, sa sadržajem 5% ili više po masi elastomernog prediva ili niti od kaučuka, osim onih iz tarifnog broja 6001

Kao što je navedeno za ex tarifne brojeve

ex 6004 (a)

štampani, bojeni (uključujući bojene u belo)

Proizvodnja od prediva
ili
Štampanje ili bojenje tkanina, nebeljenih ili prethodno beljenih, zajedno sa pripremnim ili završnim postupcima

ex 6004 (b)

- ostalo

Proizvodnja od prediva

6005

Materijali pleteni po osnovi (uključujući i one dobijene na "galloon" pletaćim mašinama), osim onih iz tar. br. 6001 do 6004

Kao što je navedeno za ex tarifne brojeve

ex 6005 (a)

štampani, bojeni (uključujući bojene u belo)

Proizvodnja od prediva
ili
Štampanje ili bojenje tkanina, nebeljenih ili prethodno beljenih, zajedno sa pripremnim ili završnim postupcima

ex 6005 (b)

- ostalo

Proizvodnja od prediva

6006

Ostali pleteni ili kukičani materijali

Kao što je navedeno za ex tarifne brojeve

ex 6006 (a)

štampani, bojeni (uključujući bojene u belo)

Proizvodnja od prediva
ili
Štampanje ili bojenje tkanina, nebeljenih ili prethodno beljenih, zajedno sa pripremnim ili završnim postupcima

ex 6006 (b)

- ostalo

Proizvodnja od prediva

Glava 61

ODEĆA I PRIBOR ZA ODEĆU, PLETENI ILI KUKIČANI

Preostalo pravilo uz ovu glavu:

Ako se zemlja porekla ne može utvrditi primenom osnovnih pravila, zemlja porekla robe je zemlja iz koje potiče najveći deo materijala, utvrđen na osnovu vrednosti materijala.

Tarifni broj HS 2022

Opis robe

Osnovna pravila

6101

Kaputi, ogrtači, pelerine, vetrovke sa kapuljačom tipa anorak (uključujući skijaške jakne), vetrovke sa ili bez postave ili uloška i slični proizvodi za muškarce i dečake, pleteni ili kukičani, osim proizvoda iz tarifnog broja 6103

Kao što je navedeno za ex tarifne brojeve

ex 6101 (a)

- dobijeni šivenjem ili na drugi način sastavljanjem dva ili više komada pletenog ili kukičanog materijala, koji su iskrojeni u potrebne oblike ili proizvedeni već oblikovani

Potpuno dovršavanje

ex 6101 (b)

- ostalo

Proizvodnja od prediva

6102

Kaputi, ogrtači, pelerine, vetrovke sa kapuljačom tipa anorak (uključujući skijaške jakne), vetrovke sa ili bez postave ili uloška i slični proizvodi za žene i devojčice, pleteni ili kukičani, osim proizvoda iz tarifnog broja 6104

Kao što je navedeno za ex tarifne brojeve

ex 6102 (a)

- dobijeni šivenjem ili na drugi način sastavljanjem dva ili više komada pletenog ili kukičanog materijala, koji su iskrojeni u potrebne oblike ili proizvedeni već oblikovani

Potpuno dovršavanje

ex 6102 (b)

- ostalo

Proizvodnja od prediva

6103

Odela, kompleti, jakne, sakoi, pantalone, pantalone sa plastronom i naramenicama, bridž-pantalone i šorcevi (osim kupaćih gaća), za muškarce i dečake, pleteni ili kukičani

Kao što je navedeno za ex tarifne brojeve

ex 6103 (a)

- dobijeni šivenjem ili na drugi način sastavljanjem dva ili više komada pletenog ili kukičanog materijala, koji su iskrojeni u potrebne oblike ili proizvedeni već oblikovani

Potpuno dovršavanje

ex 6103 (b)

- ostalo

Proizvodnja od prediva

6104

Kostimi, kompleti, jakne, sakoi, haljine, suknje, suknje-pantalone, pantalone, pantalone sa plastronom i naramenicama, bridž-pantalone i šorcevi (osim kupaćih gaćica i kostima), za žene i devojčice, pleteni ili kukičani

Kao što je navedeno za ex tarifne brojeve

ex 6104 (a)

- dobijeni šivenjem ili na drugi način sastavljanjem dva ili više komada pletenog ili kukičanog materijala, koji su iskrojeni u potrebne oblike ili proizvedeni već oblikovani

Potpuno dovršavanje

ex 6104 (b)

- ostalo

Proizvodnja od prediva

6105

Košulje za muškarce i dečake, pletene ili kukičane

Kao što je navedeno za ex tarifne brojeve

ex 6105 (a)

- dobijeni šivenjem ili na drugi način sastavljanjem dva ili više komada pletenog ili kukičanog materijala, koji su iskrojeni u potrebne oblike ili proizvedeni već oblikovani

Potpuno dovršavanje

ex 6105 (b)

- ostalo

Proizvodnja od prediva

6106

Bluze, košulje i košulje - bluze, za žene i devojčice, pletene ili kukičane

Kao što je navedeno za ex tarifne brojeve

ex 6106 (a)

- dobijeni šivenjem ili na drugi način sastavljanjem dva ili više komada pletenog ili kukičanog materijala, koji su iskrojeni u potrebne oblike ili proizvedeni već oblikovani

Potpuno dovršavanje

ex 6106 (b)

- ostalo

Proizvodnja od prediva

6107

Gaće, noćne košulje, pidžame, bade mantili, kućni ogrtači i slični proizvodi za muškarce i dečake, pleteni ili kukičani

Kao što je navedeno za ex tarifne brojeve

ex 6107 (a)

- dobijeni šivenjem ili na drugi način sastavljanjem dva ili više komada pletenog ili kukičanog materijala, koji su iskrojeni u potrebne oblike ili proizvedeni već oblikovani

Potpuno dovršavanje

ex 6107 (b)

- ostalo

Proizvodnja od prediva

6108

Kombinezoni, podsuknje, gaćice, spavaćice, pidžame, jutarnje haljine, bademantili, kućne haljine i slični proizvodi za žene ili devojčice, pleteni ili kukičani

Kao što je navedeno za ex tarifne brojeve

ex 6108 (a)

- dobijeni šivenjem ili na drugi način sastavljanjem dva ili više komada pletenog ili kukičanog materijala, koji su iskrojeni u potrebne oblike ili proizvedeni već oblikovani

Potpuno dovršavanje

ex 6108 (b)

- ostalo

Proizvodnja od prediva

6109

Majice sa kratkim rukavima, majice bez rukava i potkošulje, pletene ili kukičane

Kao što je navedeno za ex tarifne brojeve

ex 6109 (a)

- dobijene šivenjem ili na drugi način sastavljanjem dva ili više komada pletenog ili kukičanog materijala, koji su iskrojeni u potrebne oblike ili proizvedeni već oblikovani

Potpuno dovršavanje

ex 6109 (b)

- ostalo

Proizvodnja od prediva

6110

Džemperi sa ili bez zakopčavanja, puloveri, prsluci i slični proizvodi, pleteni ili kukičani

Kao što je navedeno za ex tarifne brojeve

ex 6110 (a)

- dobijeni šivenjem ili na drugi način sastavljanjem dva ili više komada pletenog ili kukičanog materijala, koji su iskrojeni u potrebne oblike ili proizvedeni već oblikovani

Potpuno dovršavanje

ex 6110 (b)

- ostalo

Proizvodnja od prediva

6111

Odeća i pribor za odeću, za bebe, pleteni ili kukičani

Kao što je navedeno za ex tarifne brojeve

ex 6111 (a)

- dobijeni šivenjem ili na drugi način sastavljanjem dva ili više komada pletenog ili kukičanog materijala, koji su iskrojeni u potrebne oblike ili proizvedeni već oblikovani

Potpuno dovršavanje

ex 6111 (b)

- ostalo

Proizvodnja od prediva

6112

Trenerke, skijaška odela i kupaće gaće ili kostimi, pleteni ili kukičani

Kao što je navedeno za ex tarifne brojeve

ex 6112 (a)

- dobijeni šivenjem ili na drugi način sastavljanjem dva ili više komada pletenog ili kukičanog materijala, koji su iskrojeni u potrebne oblike ili proizvedeni već oblikovani

Potpuno dovršavanje

ex 6112 (b)

- ostalo

Proizvodnja od prediva

6113

Odeća izrađena od pletenih ili kukičanih materijala iz tarifnog broja 5903, 5906 ili 5907

Kao što je navedeno za ex tarifne brojeve

ex 6113 (a)

- dobijeni šivenjem ili na drugi način sastavljanjem dva ili više komada pletenog ili kukičanog materijala, koji su iskrojeni u potrebne oblike ili proizvedeni već oblikovani

Potpuno dovršavanje

ex 6113 (b)

- ostalo

Proizvodnja od prediva

6114

Ostala odeća, pletena ili kukičana

Kao što je navedeno za ex tarifne brojeve

ex 6114 (a)

- dobijeni šivenjem ili na drugi način sastavljanjem dva ili više komada pletenog ili kukičanog materijala, koji su iskrojeni u potrebne oblike ili proizvedeni već oblikovani

Potpuno dovršavanje

ex 6114 (b)

- ostalo

Proizvodnja od prediva

6115

Čarape hulahopke sa petom ili bez pete, samodržeće čarape, čarape i ostale nazuvice, uključujući čarape koje imaju funkciju stezanja u različitom stepenu (na primer, čarape za vene) i nazuvice bez tabanice, pletene ili kukičane

Kao što je navedeno za ex tarifne brojeve

ex 6115 (a)

- dobijeni šivenjem ili na drugi način sastavljanjem dva ili više komada pletenog ili kukičanog materijala, koji su iskrojeni u potrebne oblike ili proizvedeni već oblikovani

Potpuno dovršavanje

ex 6115 (b)

- ostalo

Proizvodnja od prediva

6116

Rukavice s prstima, s jednim prstom ili bez prstiju, pletene ili kukičane

Kao što je navedeno za ex tarifne brojeve

ex 6116 (a)

- dobijene šivenjem ili na drugi način sastavljanjem dva ili više komada pletenog ili kukičanog materijala, koji su iskrojeni u potrebne oblike ili bili proizvedeni već oblikovani

Potpuno dovršavanje

ex 6116 (b)

- ostalo

Proizvodnja od prediva

6117

Ostali gotov pribor za odeću, pleten ili kukičan; Pleteni ili kukičani delovi odeće ili pribora za odeću.

Kao što je navedeno za ex tarifne brojeve

ex 6117 (a)

- dobijeni šivenjem ili na drugi način sastavljanjem dva ili više komada pletenog ili kukičanog materijala, koji su bili iskrojeni u potrebne oblike ili bili proizvedeni već oblikovani

Potpuno dovršavanje

ex 6117 (b)

- ostalo

Proizvodnja od prediva

Glava 62

ODEĆA I PRIBOR ZA ODEĆU, OSIM PLETENIH I KUKIČANIH

Preostalo pravilo uz ovu glavu:

Ako se zemlja porekla ne može utvrditi primenom osnovnih pravila, zemlja porekla robe je zemlja iz koje potiče najveći deo materijala, utvrđen na osnovu vrednosti materijala.

Tarifni broj HS 2022

Opis robe

Osnovna pravila

6201

Kaputi, ogrtači, pelerine, vetrovke sa kapuljačom tipa "anorak" (uključujući skijaške jakne), vetrovke nepostavljene, vetrovke postavljene i slični proizvodi za muškarce i dečake, osim proizvoda iz tarifnog broja 6203

Kao što je navedeno za ex tarifne brojeve

ex 6201 (a)

- dovršeni ili kompletni

Potpuno dovršavanje

ex 6201 (b)

- nedovršeni ili nekompletni

Proizvodnja od prediva

6202

Kaputi, ogrtači, pelerine, vetrovke sa kapuljačom tipa "anorak" (uključujući skijaške jakne), vetrovke nepostavljene, vetrovke postavljene i slični proizvodi za žene i devojčice, osim proizvoda iz tarifnog broja 6204

Kao što je navedeno za ex tarifne brojeve

ex 6202 (a)

- dovršeni ili kompletni

Potpuno dovršavanje

ex 6202 (b)

- nedovršeni ili nekompletni

Proizvodnja od prediva

6203

Odela, kompleti, jakne, sakoi, pantalone, pantalone sa plastronom i naramenicama, bridž-pantalone i šorcevi (osim kupaćih gaća), za muškarce i dečake

Kao što je navedeno za ex tarifne brojeve

ex 6203 (a)

- dovršeni ili kompletni

Potpuno dovršavanje

ex 6203 (b)

- nedovršeni ili nekompletni

Proizvodnja od prediva

6204

Kostimi, kompleti, jakne, sakoi, haljine, suknje, suknje-pantalone, pantalone, pantalone sa plastronom i naramenicama, šorcevi (osim kupaćih gaćica i kostima), za žene i devojčice

Kao što je navedeno za ex tarifne brojeve

ex 6204 (a)

- dovršeni ili kompletni

Potpuno dovršavanje

ex 6204 (b)

- nedovršeni ili nekompletni

Proizvodnja od prediva

6205

Košulje, za muškarce i dečake

Kao što je navedeno za ex tarifne brojeve

ex 6205 (a)

- dovršeni ili kompletni

Potpuno dovršavanje

ex 6205 (b)

- nedovršeni ili nekompletni

Proizvodnja od prediva

6206

Bluze, košulje i košulje - bluze, za žene i devojčice.

Kao što je navedeno za ex tarifne brojeve

ex 6206 (a)

- dovršene ili kompletne

Potpuno dovršavanje

ex 6206 (b)

- nedovršene ili nekompletne

Proizvodnja od prediva

6207

Potkošulje i ostale majice bez rukava, podgaće, gaće, noćne košulje, pidžame, bade mantili, kućni ogrtači i slični proizvodi, za muškarce i dečake

Kao što je navedeno za ex tarifne brojeve

ex 6207 (a)

- dovršeni ili kompletni

Potpuno dovršavanje

ex 6207 (b)

- nedovršeni ili nekompletni

Proizvodnja od prediva

6208

Potkošulje i ostale majice bez rukava, kombinezoni, podsuknje, kilote, gaćice, spavaćice, pidžame, jutarnje haljine, bade mantili, kućne haljine i slični proizvodi, za žene ili devojčice

Kao što je navedeno za ex tarifne brojeve

ex 6208 (a)

- dovršene ili kompletne

Potpuno dovršavanje

ex 6208 (b)

- nedovršene ili nekompletne

Proizvodnja od prediva

6209

Odeća i pribor za odeću, za bebe

Kao što je navedeno za ex tarifne broje

ex 6209 (a)

- dovršeni ili kompletni

Potpuno dovršavanje

ex 6209 (b)

- nedovršeni ili nekompletni

Proizvodnja od prediva

6210

Odeća izrađena od materijala iz tar. br. 5602, 5603, 5903, 5906 ili 5907

Kao što je navedeno za ex tarifne broje

ex 6210 (a)

- dovršena ili kompletna

Potpuno dovršavanje

ex 6210 (b)

- nedovršena ili nekompletna

Proizvodnja od prediva

6211

Trenerke, skijaška odela i kupaće gaće ili kostimi; Ostala odeća

Kao što je navedeno za ex tarifne broje

ex 6211 (a)

- dovršeni ili kompletni

Potpuno dovršavanje

ex 6211 (b)

- nedovršeni ili nekompletni

Proizvodnja od prediva

6212

Grudnjaci, mideri, korseti (ženski steznici), naramenice, držači čarapa (podvezice) i slični proizvodi kao i njihovi delovi, uključujući pletene ili kukičane

Kao što je navedeno za ex tarifne broje

ex 6212 (a)

- dovršeni ili kompletni

Potpuno dovršavanje

ex 6212 (b)

- nedovršeni ili nekompletni

Proizvodnja od prediva

6213

Maramice

Kao što je navedeno za ex tarifne broje

ex 6213 (a)

- vezene

Proizvodnja od prediva
ili
Proizvodnja od nevezene tkanine, pod uslovom da vrednost nevezene tkanine nije veća od 40% cene proizvoda franko fabrika

ex 6213 (b)

- ostalo

Proizvodnja od prediva

6214

Šalovi, ešarpe, marame, šamije, velovi i slični proizvodi

Kao što je navedeno za ex tarifne brojeve

ex 6214 (a)

- vezeni

Proizvodnja od prediva
ili
Proizvodnja od nevezene tkanine, pod uslovom da vrednost upotrebljene nevezene tkanine nije veća od 40% cene proizvoda franko fabrika

ex 6214 (b)

- ostalo

Proizvodnja od prediva

6215

Mašne, leptir-mašne i kravate

Kao što je navedeno za ex tarifne brojeve

ex 6215 (a)

- dovršene ili kompletne

Potpuno dovršavanje

ex 6215 (b)

- nedovršene ili nekompletne

Proizvodnja od prediva

6216

Rukavice s prstima, s jednim prstom ili bez prstiju

Kao što je navedeno za ex tarifne brojeve

ex 6216 (a)

- dovršene ili kompletne

Potpuno dovršavanje

ex 6216 (b)

- nedovršene ili nekompletne

Proizvodnja od prediva

6217

Ostali gotov pribor za odeću; Delovi odeće ili pribora za odeću, osim onih iz tarifnog broja 6212

Kao što je navedeno za ex tarifne brojeve

ex 6217 (a)

- dovršeni ili kompletni

Potpuno dovršavanje

ex 6217 (b)

- nedovršeni ili nekompletni

Proizvodnja od prediva

Glava 63

OSTALI GOTOVI PROIZVODI OD TEKSTILA; SETOVI; IZNOŠENA, DOTRAJALA ODEĆA I DOTRAJALI PROIZVODI OD TEKSTILA; KRPE

Preostalo pravilo uz ovu glavu:

Ako se zemlja porekla ne može utvrditi primenom osnovnih pravila, zemlja porekla robe je zemlja iz koje potiče najveći deo materijala, utvrđen na osnovu vrednosti materijala.

Tarifni broj HS 2022

Opis robe

Osnovna pravila

6301

Ćebad i putni pokrivači

Kao što je navedeno za ex tarifne brojeve

 

- od filca ili netkanog tekstila

 

ex 6301 (a)

- - neimpregnisani, neprevučeni, neprekriveni ili nelaminirani

Proizvodnja od vlakana

ex 6301 (b)

- - impregnisani, prevučeni, prekriveni ili laminirani

Impregnacija, prevlačenje, prekrivanje ili laminiranje filca ili netkanog tekstila, nebeljenog

 

- ostalo

 

 

- - pleteni ili kukičani

 

ex 6301 (v)

- - - nevezeni

Potpuno dovršavanje

ex 6301 (g)

- - - vezeni

Potpuno dovršavanje
ili
Proizvodnja od nevezene pletene ili kukičane tkanine, pod uslovom da vrednost upotrebljene nevezene pletene ili kukičane tkanine nije veća od 40% cene proizvoda franko fabrika

 

- - nepleteni ili nekukičani:

 

ex 6301 (d)

- - - nevezeni

Proizvodnja od prediva

ex 6301 (đ)

- - - vezeni

Proizvodnja od prediva ili
Proizvodnja od nevezene tkanine, pod uslovom da vrednost upotrebljene nevezene tkanine nije veća od 40% cene proizvoda franko fabrika

6302

Posteljno, stono, toaletno i kuhinjsko rublje

Kao što je navedeno za ex tarifne brojeve

 

- od filca ili netkanog tekstila

 

ex 6302 (a)

- - neimpregnisano, neprevučeno, neprekriveno ili nelaminirano

Proizvodnja od vlakana

ex 6302 (b)

- - impregnisano, prevučeno, prekriveno ili laminirano

Impregnacija, prevlačenje, prekrivanje ili laminiranje filca ili netkanog tekstila, nebeljenog

 

- ostalo:

 

 

- - pleteno ili kukičano

 

ex 6302 (v)

- - - nevezeno

Potpuno dovršavanje

ex 6302 (g)

- - - vezeno

Potpuno dovršavanje
ili
Proizvodnja od nevezene pletene ili kukičane tkanine, pod uslovom da vrednost upotrebljene nevezene pletene ili kukičane tkanine nije veća od 40% cene proizvoda franko fabrika

 

- - nepleteno ili nekukičano:

 

ex 6302 (d)

- - - nevezeno

Proizvodnja od prediva

ex 6302 (đ)

- - - vezeno

Proizvodnja od prediva
ili
Proizvodnja od nevezene tkanine, pod uslovom da vrednost upotrebljene nevezene tkanine nije veća od 40% cene proizvoda franko fabrika

6303

Zavese (uključujući draperije) i unutrašnje platnene roletne, kratke ukrasne draperije za zavese ili krevete

Kao što je navedeno za ex tarifne brojeve

 

- od filca ili netkanog tekstila

 

ex 6303 (a)

- - neimpregnisane, neprevučene, neprekrivene ili nelaminirane

Proizvodnja od vlakana

ex 6303 (b)

- - impregnisane, prevučene, prekrivene ili laminirane

Impregnacija, prevlačenje, prekrivanje ili laminiranje filca ili netkanog tekstila, nebeljenog

 

- ostalo:

 

 

- - pletene ili kukičane

 

ex 6303 (v)

- - - nevezene

Potpuno dovršavanje

ex 6303 (g)

- - - vezene

Potpuno dovršavanje
ili
Proizvodnja od nevezene pletene ili kukičane tkanine, pod uslovom sa vrednost upotrebljene nevezene pletene ili kukičane tkanine nije veća od 40% cene proizvoda franko fabrika

 

- - nepletene ili nekukičane:

 

ex 6303 (d)

- - - nevezene

Proizvodnja od prediva

ex 6303 (đ)

- - - vezene

Proizvodnja od prediva
ili
Proizvodnja od nevezene tkanine, pod uslovom da vrednost upotrebljene nevezene tkanine nije veća od 40% cene proizvoda franko fabrika

6304

Ostali proizvodi za unutrašnje opremanje, isključujući proizvode iz tarifnog broja 9404

Kao što je navedeno za ex tarifne brojeve

 

- od filca ili netkanog tekstila:

 

ex 6304 (a)

- - neimpregnisani, neprevučeni, neprekriveni ili nelaminirani

Proizvodnja od vlakana

ex 6304 (b)

- - impregnisani, prevučeni, prekriveni ili laminirani

Impregnacija, prevlačenje, prekrivanje ili laminiranje filca ili netkanog tekstila, nebeljenog

 

- ostalo:

 

 

- - pleteni ili kukičani

 

ex 6304 (v)

- - - nevezeni

Potpuno dovršavanje

ex 6304 (g)

- - - vezeni

Potpuno dovršavanje
ili
Proizvodnja od nevezene pletene ili kukičane tkanine, pod uslovom da vrednost upotrebljene nevezene pletene ili kukičane tkanine nije veća od 40% cene proizvoda franko fabrika

 

- - nepleteni ili nekukičani:

 

ex 6304 (d)

- - - nevezeni

Proizvodnja od prediva

ex 6304 (đ)

- - - vezeni

Proizvodnja od prediva
ili
Proizvodnja od nevezene tkanine, pod uslovom da vrednost upotrebljene nevezene tkanine nije veća od 40% cene proizvoda franko fabrika

6305

Vreće i vrećice za pakovanje robe.

Kao što je navedeno za ex tarifne brojeve

 

- od filca ili netkanog tekstila:

 

ex 6305 (a)

- - neimpregnisane, neprevučene, neprekrivene ili nelaminirane

Proizvodnja od vlakana

ex 6305 (b)

- - impregnisane, prevučene, prekrivene ili laminirane

Impregnacija, prevlačenje, prekrivanje ili laminiranje filca ili netkanog tekstila, nebeljenog

 

- ostalo:

 

 

- - pletene ili kukičane

 

 

 

ex 6305 (v)

- - - nevezene

Potpuno dovršavanje

ex 6305 (g)

- - - vezene

Potpuno dovršavanje
ili
Proizvodnja od nevezene pletene ili kukičane tkanine, pod uslovom da vrednost upotrebljene nevezene pletene ili kukičane tkanine nije veća od 40% cene proizvoda franko fabrika

 

- - nepletene ili nekukičane:

 

ex 6305 (d)

- - - nevezene

Proizvodnja od prediva

ex 6305 (đ)

- - - vezene

Proizvodnja od prediva
ili
Proizvodnja od nevezene tkanine, pod uslovom da vrednost upotrebljene nevezene tkanine nije veća od 40% cene proizvoda franko fabrika

6306

Cerade, tende i roletne za sunce; Šatori (uključujući privremene nadstrešnice i slične proizvode); Jedra za čamce i brodove, daske za jedrenje ili kopnene jedrilice; Proizvodi za kampovanje

Kao što je navedeno za ex tarifne brojeve

 

- Cerade, nadstrešnice i proizvodi za kampovanje, od filca ili netkanog tekstila:

 

ex 6306 (a)

- - neimpregnisane, neprevučene, neprekrivene ili nelaminirane

Proizvodnja od vlakana

ex 6306 (b)

- - impregnisane, prevučene, prekrivene ili laminirane

Impregnacija, prevlačenje, prekrivanje ili laminiranje filca ili netkanog tekstila, nebeljenog

 

- Ostale cerade, nadstrešnice i proizvodi za kampovanje

 

 

- - pleteni ili kukičani

 

ex 6306 (v)

- - - nevezeni

Potpuno dovršavanje

ex 6306 (g)

- - - vezeni

Potpuno dovršavanje
ili
Proizvodnja od nevezene pletene ili kukičane tkanine, pod uslovom da vrednost upotrebljene nevezene pletene ili kukičane tkanine nije veća od 40% cene proizvoda franko fabrika

 

- - nepleteni ili nekukičani:

 

ex 6306 (d)

- - - nevezeni

Proizvodnja od prediva

ex 6306 (đ)

- - - vezeni

Proizvodnja od prediva
ili
Proizvodnja od nevezene tkanine, pod uslovom da vrednost upotrebljene nevezene tkanine nije veća od 40% cene proizvoda franko fabrika

ex 6306 (e)

tende; šatori; jedra za čamce, daske za jedrenje ili suvozemna vozila;

CTH

6307

Ostali gotovi proizvodi, uključujući modne krojeve za odeću

Kao što je navedeno za tarifne podbrojeve

6307 10

- Krpe za pod, sudove, prašinu i slične krpe za čišćenje

Proizvodnja od prediva

6307 20

- Prsluci i pojasevi za spasavanje

Proizvodnja kod koje vrednost svih upotrebljenih materijala nije veća od 40% cene proizvoda franko fabrika

6307 90

- Ostalo

Proizvodnja kod koje vrednost svih upotrebljenih materijala nije veća od 40% cene proizvoda franko fabrika

6308

Setovi koji se sastoje od komada tkanine i prediva s priborom ili bez pribora, za izradu prostirki, tapiserija, vezenih stolnjaka ili salveta ili sličnih proizvoda od tekstila, pripremljeni u pakovanjima za prodaju na malo

Uključivanje u set ako ukupna vrednost svih proizvoda bez porekla ne prelazi 25% cene seta franko fabrika

6309

Iznošena - dotrajala odeća i drugi dotrajali proizvodi od tekstila

Prikupljanje i pakovanje za isporuku

6310

Upotrebljavne ili nove krpe, otpaci užadi, kanapa, konopaca i kablova i dotrajali proizvodi od užadi, kanapa, konopaca ili kablova, od tekstilnog materijala.

CTH

Odeljak XII

OBUĆA, ŠEŠIRI, KAPE I OSTALE POKRIVKE ZA GLAVU, KIŠOBRANI, SUNCOBRANI, ŠTAPOVI, BIČEVI, KORBAČI I NJIHOVI DELOVI; PREPARIRANO PERJE I PROIZVODI OD PERJA; VEŠTAČKO CVEĆE; PROIZVODI OD LJUDSKE KOSE

Glava 64

OBUĆA, KAMAŠNE I SLIČNI PROIZVODI; DELOVI TIH PROIZVODA

Preostalo pravilo uz ovu glavu:

Ako se zemlja porekla ne može utvrditi primenom osnovnih pravila, zemlja porekla robe je zemlja iz koje potiče najveći deo materijala, utvrđen na osnovu vrednosti materijala.

Tarifni broj HS 2022

Opis robe

Osnovna pravila

6401

Nepromočiva obuća sa spoljašnjim đonovima i licem (gornjištem), od kaučuka ili plastične mase, čije lice nije pričvršćeno za đon niti spojeno s njim ušivanjem, zakivanjem zakivcima ili ekserima, pomoću vijaka, čepova ili sličnim postupcima

CTH, osim kod sastavljanja gornjih delova obuće (gornjišta) pričvršćenih na unutrašnje đonove ili na druge delove đonova iz tarifnog broja 6406

6402

Ostala obuća sa spoljašnjim đonovima i licem (gornjištem), od kaučuka ili plastične mase

CTH, osim kod sastavljanja gornjih delova obuće (gornjišta) pričvršćenih na unutrašnje đonove ili na druge delove đonova iz tarifnog broja 6406

6403

Obuća sa spoljašnjim đonovima od kaučuka ili plastične mase, kože ili veštačke kože i licem (gornjištem) od kože

CTH, osim kod sastavljanja gornjih delova obuće (gornjišta) pričvršćenih na unutrašnje đonove ili na druge delove đonova iz tarifnog broja 6406

6404

Obuća sa spoljašnjim đonovima od kaučuka ili plastične mase, kože ili veštačke kože i licem (gornjištem) od tekstilnih materijala

CTH, osim kod sastavljanja gornjih delova obuće (gornjišta) pričvršćenih na unutrašnje đonove ili na druge delove đonova iz tarifnog broja 6406

6405

Ostala obuća

CTH, osim kod sastavljanja gornjih delova obuće (gornjišta) pričvršćenih na unutrašnje đonove ili na druge delove đonova iz tarifnog broja 6406

Odeljak XIII

PROIZVODI OD KAMENA, GIPSA, CEMENTA, AZBESTA, LISKUNA ILI SLIČNIH MATERIJALA; KERAMIČKI PROIZVODI; STAKLO I PROIZVODI OD STAKLA

Glava 69

KERAMIČKI PROIZVODI

Preostalo pravilo uz ovu glavu:

Ako se zemlja porekla ne može utvrditi primenom osnovnih pravila, zemlja porekla robe je zemlja iz koje potiče najveći deo materijala, utvrđen na osnovu vrednosti materijala.

Tarifni broj HS 2022

Opis robe

Osnovna pravila

ex 6911 do ex 6913

Keramičko stono posuđe, kuhinjsko posuđe, ostali predmeti za domaćinstvo ili toaletnu upotrebu; statuete i ostali ukrasni proizvodi i proizvodi za toaletnu upotrebu od keramike, dekorisani

CTH

Odeljak XIV

PRIRODNI ILI KULTIVISANI BISERI, DRAGO ILI POLUDRAGO KAMENJE, PLEMENITI METALI, METALI PLATIRANI PLEMENITIM METALIMA I PROIZVODI OD NJIH; IMITACIJE NAKITA; METALNI NOVAC

Glava 71

PRIRODNI ILI KULTIVISANI BISERI, DRAGO ILI POLUDRAGO KAMENJE, PLEMENITI METALI, METALI PLATIRANI PLEMENITIM METALIMA I PROIZVODI OD NJIH; IMITACIJE NAKITA; METALNI NOVAC

Preostalo pravilo uz ovu glavu:

Ako se zemlja porekla ne može utvrditi primenom osnovnih pravila, zemlja porekla robe je zemlja iz koje potiče najveći deo materijala, utvrđen na osnovu vrednosti materijala.

Tarifni broj HS 2022

Opis robe

Osnovna pravila

ex 7117

Keramičke imitacije nakita, dekorisane

CTH

Odeljak XV

PROSTI METALI I PROIZVODI OD PROSTIH METALA

Glava 72

GVOŽĐE I ČELIK

Definicija

Za svrhe ove glave, izrazi "hladno valjani (hladno redukovani)" i "hladno oblikovani" označavaju hladno redukovanje koje ima za rezultat promenu kristalne strukture predmeta koji se obrađuje. Ovi izrazi ne uključuju lagani proces hladnog valjanja i hladnog oblikovanja (skin pass ili pinch pass) koji deluje samo po površini materijala i nema za rezultat promenu kristalne strukture.

Napomena uz ovu glavu

Za potrebe ove glave, promene u svrstavanju robe koje su rezultat isključivo sečenja neće se smatrati dovoljnim za sticanje statusa robe sa poreklom.

Preostalo pravilo uz ovu glavu:

Ako se zemlja porekla ne može utvrditi primenom osnovnih pravila, zemlja porekla robe je zemlja iz koje potiče najveći deo materijala, utvrđen na osnovu vrednosti materijala.

Tarifni broj HS 2022

Opis robe

Osnovna pravila

7201

Sirovo gvožđe i manganovo (ogledalasto) gvožđe u blokovima ili drugim primarnim oblicima

CTH

7202

Ferolegure

CTH

7203

Proizvodi koji sadrže gvožđe dobijeni direktnom redukcijom rude gvožđa i ostali sunđerasti proizvodi koji sadrže gvožđe, u komadima, peletima ili sličnim oblicima; Gvožđe minimalne čistoće 99,94% po masi, u komadima, peletima ili sličnim oblicima

CTH

7204

Otpaci i ostaci od metala koji sadrže gvožđe; Otpadni ingoti za pretapanje, od gvožđa ili čelika

Kao što je navedeno za ex tarifne brojeve

ex 7204 (a)

- otpaci i ostaci od gvožđa ili čelika

Zemlja porekla robe iz ovog ex tarifnog broja je zemlja u kojoj su otpaci i ostaci nastali u proizvodnji ili procesu prerade ili iz potrošnje

ex 7204 (b)

- otpadni ingoti za pretapanje, od gvožđa ili čelika

Zemlja porekla robe iz ovog ex tarifnog broja je zemlja u kojoj su otpaci i ostaci nastali u proizvodnji ili procesu prerade ili iz potrošnje

7205

Granule i prah, od sirovog gvožđa, manganovog ogledalastog gvožđa, gvožđa ili čelika

Kao što je navedeno za tarifne podbrojeve

7205 10

- Granule

CTH

 

- Prah:

 

7205 21

- - Od legiranog čelika

Kao što je navedeno za ex tarifne podbrojeve

ex 7205 21 (a)

- - - mešavine praha od legiranog čelika

CTSH ili CTSHS pod uslovom da je izvršeno pretapanje i atomizovanje odlivka legure

ex 7205 21 (b)

- - - nemešani prah od legiranog čelika

CTSH

7205 29

- - Ostali

Kao što je navedeno za ex tarifne podbrojeve

ex 7205 29 (a)

- - - ostale mešavine praha

CTSH ili CTSHS pod uslovom da je izvršeno pretapanje i atomizovanje odlivka legure

ex 7205 29 (b)

- - - ostali nemešani prah

CTSH

7206

Gvožđe i nelegirani čelik, u ingotima ili drugim primarnim oblicima (ne uključujući gvožđe iz tarifnog broja 7203)

CTH

7207

Poluproizvodi od gvožđa ili nelegiranog čelika

CTH, osim iz tarifnog broja 7206

7208

Pljosnati valjani proizvodi od gvožđa ili nelegiranog čelika, širine 600 mm ili veće, toplo valjani, neplatirani niti prevučeni

CTH

7209

Pljosnati valjani proizvodi od gvožđa ili nelegiranog čelika, širine 600 mm ili veće, hladno valjani (hladno redukovani), neplatirani niti prevučeni

CTH

7210

Pljosnati valjani proizvodi od gvožđa ili nelegiranog čelika, širine 600 mm ili veće, platirani ili prevučeni

Kao što je navedeno za ex tarifne brojeve

ex 7210 (a)

- platirani

CTHS

ex 7210 (b)

- platirani ili prevučeni kalajem, štampani ili lakirani

CTH

ex 7210 (v)

- platirani ili prevučeni cinkom, talasasti

CTH

ex 7210 (g)

- ostalo

CTH

7211

Pljosnati valjani proizvodi od gvožđa ili nelegiranog čelika, širine manje od 600 mm, neplatirani niti prevučeni

Kao što je navedeno za ex tarifne brojeve

ex 7211 (a)

- toplo valjani

CTH, osim iz tarifnog broja 7208

ex 7211 (b)

- hladno valjani (hladno redukovani)

CTHS, osim iz tarifnog broja 7209

7212

Pljosnati valjani proizvodi od gvožđa ili nelegiranog čelika, širine manje od 600 mm, platirani ili prevučeni

Kao što je navedeno za ex tarifne brojeve

ex 7212 (a)

- platirani

CTHS, osim iz tarifnog broja 7210

ex 7212 (b)

- ostali

CTH, osim iz tarifnog broja 7210

7213

Šipke, toplo valjane, u labavo namotanim koturovima, od gvožđa ili nelegiranog čelika

CTH, osim iz tarifnog broja 7214

7214

Ostale šipke od gvožđa ili nelegiranog čelika, dalje neobrađivane nakon što su kovane, toplo valjane, toplo vučene ili toplo ekstrudirane, ali uključujući one koje su usukane posle valjanja

CTH, osim iz tarifnog broja 7213

7215

Ostale šipke od gvožđa ili nelegiranog čelika

CTH

7216

Profili od gvožđa ili nelegiranog čelika

Kao što je navedeno za ex tarifne brojeve

ex 7216 (a)

- dalje neobrađivani, osim toplog valjanja

CTH, osim iz tar. br. 7208, 7209, 7210, 7211 ili 7212, i osim iz tar. br. 7213, 7214 ili 7215, kada je promena rezultat odsecanja ili savijanja.

ex 7216 (b)

- dalje neobrađivani, osim hladnog valjanja

CTH, osim iz tarifnog broja 7209 ili ex tarifnog broja 7211 (b), i osim iz tarifnog broja 7215, kada je promena rezultat odsecanja ili savijanja.

ex 7216 (v)

- dlatirani

CTHS

ex 7216 (g)

- ostali

CTH, osim iz tar. br. 7208 do 7215

7217

Žica od gvožđa ili nelegiranog čelika

CTH, osim iz tar. br. 7213 do 7215; ili promena iz tar. br. 7213 do 7215, pod uslovom da je materijal hladno oblikovan.

7218

Nerđajući čelik u ingotima ili drugim primarnim oblicima; Poluproizvodi od nerđajućeg čelika

CTH

7219

Pljosnati valjani proizvodi od nerđajućeg čelika, širine 600 mm ili veće

Kao što je navedeno za ex tarifne brojeve

ex 7219 (a)

- dalje neobrađivani, osim toplog valjanja

CTH

ex 7219 (b)

- dalje neobrađivani, osim hladnog valjanja

CTHS

ex 7219 (v)

- platirani

CTHS

ex 7219 (g)

- ostali

CTHS

7220

Pljosnati valjani proizvodi od nerđajućeg čelika, širine manje od 600 mm

Kao što je navedeno za ex tarifne brojeve

ex 7220 (a)

- dalje neobrađivani, osim toplog valjanja

CTH, osim iz tarifnog broja 7219

ex 7220 (b)

- dalje neobrađivani, osim hladnog valjanja

CTHS

ex 7220 (v)

- platirani

CTHS

ex 7220 (g)

- ostali

CTHS

7221

Šipke, toplo valjane, u labavo namotanim koturovima, od nerđajućeg čelika

CTH, osim iz tarifnog broja 7222

7222

Šipke od nerđajućeg čelika; Profili, od nerđajućeg čelika

Kao što je navedeno za ex tarifne brojeve

ex 7222 (a)

- šipke samo toplo valjane, dalje neobrađivane

CTH, osim iz tarifnog broja 7221

ex 7222 (b)

- profili samo toplo valjani, dalje neobrađivani

CTH, osim iz tar. br. 7219 ili 7220 i osim iz tarifnog broja 7221 ili ex tarifnog broja 7222 (a) kada je promena rezultat odsecanja ili savijanja.

ex 7222 (v)

- šipke i profili samo hladno valjani, dalje neobrađivani

CTH, osim iz ex tarifnog broja 7219 (b) ili ex tarifnog broja 7220 (b); ili CTHS iz ex tarifnog broja 7222 (a)

ex 7222 (g)

- šipke i profili, platirani

CTHS

ex 7222 (d)

- ostale šipke

CTH, osim iz tarifnog broja 7221

ex 7222 (đ)

- ostali profili

CTHS

7223

Žica od nerđajućeg čelika

CTH, osim iz tar. br. 7221 do 7222; ili promena iz tar. br. 7221 do 7222, pod uslovom da je materijal hladno oblikovan.

7224

Ostali legirani čelici u ingotima ili drugim primarnim oblicima; Poluproizvodi od ostalih legiranih čelika

CTH

7225

Pljosnati valjani proizvodi od ostalih legiranih čelika, širine 600 mm ili veće

Kao što je navedeno za ex tarifne brojeve

ex 7225 (a)

- dalje neobrađivani, osim toplog valjanja

CTH

ex 7225 (b)

- dalje neobrađivani, osim hladnog valjanja

CTHS

ex 7225 (v)

- platirani

CTHS

ex 7225 (g)

- ostali

CTH

7226

Pljosnati valjani proizvodi od ostalih legiranih čelika, širine manje od 600 mm

Kao što je navedeno za ex tarifne brojeve

ex 7226 (a)

- dalje neobrađivani, osim toplog valjanja

CTH, osim iz tarifnog broja 7225

ex 7226 (b)

- dalje neobrađivani, osim hladnog valjanja

CTHS, osim od hladno valjanih proizvoda iz tarifnog broja 7225

ex 7226 (v)

- platirani

CTHS

ex 7226 (g)

- ostali

CTHS, osim iz istog tarifnog podbroja

7227

Šipke, toplo valjane, u labavo namotanim koturovima, od ostalih legiranih čelika

CTH, osim iz tarifnog broja 7228

7228

Ostale šipke, od ostalih legiranih čelika; Profili od ostalih legiranih čelika; Šuplje bušaće šipke, od legiranih ili nelegiranih čelika

Kao što je navedeno za ex tarifne brojeve

ex 7228 (a)

- šipke samo toplo valjane, dalje neobrađivane

CTH, osim iz tarifnog broja 7227

ex 7228 (b)

- profili samo toplo valjani, dalje neobrađivani

CTH, osim iz tar. br. 7225 ili 7226 i osim iz tarifnog broja 7227 ili ex tarifnog broja 7228 (a) kada je promena rezultat odsecanja ili savijanja.

ex 7228 (v)

- šipke i profili samo hladno valjani, dalje neobrađivani

CTH, osim iz ex tarifnog broja 7225 (b) ili ex tarifnog broja 7226 (b) ili CTHS iz ex tarifnog broja 7228 (a)

ex 7228 (g)

- šipke i profili, platirani

CTHS

ex 7228 (d)

- ostale šipke

CTHS

ex 7228 (đ)

- ostali profili

CTHS

7229

Žica od ostalih legiranih čelika

CTH, osim iz tar. br. 7227 do 7228; ili promena iz tar. br. 7227 do 7228, pod uslovom da je materijal hladno oblikovan.

Glava 73

PROIZVODI OD GVOŽĐA ILI ČELIKA

Napomena uz ovu glavu

Za tarifni broj 7318, prosto pričvršćivanje sastavnih delova bez brušenja u određeni oblik, toplotne i površinske obrade neće se smatrati dovoljnim za sticanje statusa proizvoda sa poreklom.

Preostalo pravilo uz ovu glavu:

Ako se zemlja porekla ne može utvrditi primenom osnovnih pravila, zemlja porekla robe je zemlja iz koje potiče najveći deo materijala, utvrđen na osnovu vrednosti materijala.

Tarifni broj HS 2022

Opis robe

Osnovna pravila

7301

Talpe od gvožđa ili čelika, uključujući bušene, probijene ili izrađene od sastavljenih elemenata; Zavareni profili, od gvožđa ili čelika

CTH

7302

Materijal za izgradnju železničkih i tramvajskih koloseka, od gvožđa ili čelika: šine, šine vođice i nazubljene šine, skretnički jezičci, srcišta, potezne motke i drugi delovi skretnica, pragovi (poprečne veze), riblje ploče, šinske stolice, klinovi šinskih stolica, podložne pločice, distantne šipke i motke i drugi delovi specijalno konstruisani za spajanje i pričvršćivanje šina

CTH

7303

Cevi i šuplji profili, od livenog gvožđa

CTH

7304

Cevi i šuplji profili, bešavni, od gvožđa (osim od livenog gvožđa) ili čelika.

Kao što je navedeno za tarifne podbrojeve

 

- Cevi za naftovode ili gasovode:

 

7304 11

- - Od nerđajućeg čelika

CTH

7304 19

- - Ostale

CTH

 

- Zaštitne cevi ("casing"), proizvodne cevi ("tubing") i bušaće šipke, koje se koriste pri bušenju za dobijanje nafte ili gasa:

 

7304 22

- - Bušaće šipke od nerđajućeg čelika

CTH

7304 23

- - Ostale bušaće šipke

CTH

7304 24

- - Ostalo, od nerđajućeg čelika

CTH

7304 29

- - Ostalo

CTH

 

- Ostale, kružnog poprečnog preseka, od gvožđa ili nelegiranog čelika:

 

7304 31

- - Hladno vučene ili hladno valjane (hladno redukovane)

CTH; ili promena iz šupljih profila iz tarifnog podbroja 7304 39

7304 39

- - Ostale

CTH

 

- Ostale, kružnog poprečnog preseka, od nerđajućeg čelika:

 

7304 41

- - Hladno vučene ili hladno valjane (hladno redukovane)

CTH, ili promena iz šupljih profila iz tarifnog podbroja 7304 49

7304 49

- - Ostale

CTH

 

- Ostale, kružnog poprečnog preseka, od drugih legiranih čelika:

 

7304 51

- - Hladno vučene ili hladno valjane (hladno redukovane)

CTH, ili promena iz šupljih profila iz tarifnog podbroja 7304 59

7304 59

- - Ostale

CTH

7304 90

- Ostale

CTH

7305

Ostale cevi (npr.: zavarene, zakovane ili zatvorene na sličan način), kružnog poprečnog preseka, čiji spoljašnji prečnik prelazi 406,4 mm, od gvožđa ili čelika

CTH

7306

Ostale cevi i šuplji profili (npr.: sa otvorenim spojevima, zavarene, zakovane ili zatvorene na sličan način), od gvožđa ili čelika

CTH

7307

Pribor za cevi (npr.: spojnice, kolena, mufovi), od gvožđa ili čelika

CTH

7308

Konstrukcije (osim montažnih zgrada iz tarifnog broja 9406) i delovi konstrukcija (npr.: mostovi i sekcije mostova, vrata za ustave, tornjevi, rešetkasti stubovi, krovovi, krovni kosturi, vrata i prozori i okviri za njih, pragovi za vrata, roloi, ograde i stubovi), od gvožđa ili čelika; Limovi, šipke, profili, cevi i slično, pripremljeni za upotrebu u konstrukcijama, od gvožđa ili čelika.

Kao što je navedeno za ex tarifne brojeve

ex 7308 (a)

- konstrukcije

CTHS

ex 7308 (b)

- delovi konstrukcija

CTH

ex 7308 (v)

- ostalo

CTH, osim iz tar. br. 7208 do 7216, 7301, 7304 do 7306

7309

Rezervoari, tankovi, bačve i slični kontejneri, za bilo koji materijal (osim komprimovanih ili tečnih gasova), od gvožđa ili čelika, zapremine preko 300 l, sa bez obloge ili toplotne izolacije, ali neopremljeni mehaničkim ili termičkim uređajima

CTH

7310

Tankovi, burad, bačve, limenke, limene kutije i slični kontejneri, za bilo koji materijal (osim komprimovanih ili tečnih gasova), od gvožđa ili čelika, zapremine ne preko 300 l, sa ili bez obloge ili toplotne izolacije, ali neopremljeni mehaničkim ili termičkim uređajima

CTH

7311

Kontejneri za komprimovane ili tečne gasove, od gvožđa ili čelika

CTH

7312

Upredena žica, užad, kablovi, pletene trake i slično, od gvožđa ili čelika, električno neizolovani

CTH

7313

Bodljikava žica, od gvožđa ili čelika; Upredena traka ili jednostruka pljosnata žica, sa bodljama ili bez njih, i labavo upredena dvostruka žica koja se upotrebljava za ograde, od gvožđa ili čelika.

CTH

7314

Tkanine (uključujući beskonačne trake), rešetke, mreže i ograde, od gvozdene ili čelične žice; Rešetke dobijene prosecanjem i razvlačenjem jednog komada lima ili trake, od gvožđa ili čelika

CTH

7315

Lanci i njihovi delovi, od gvožđa ili čelika

CTH

7316

Sidra (kotve), čaklje i njihovi delovi, od gvožđa ili čelika

CTH

7317

Ekseri, klinci, ekserčići za crtaće table, valoviti ekseri, spajalice (osim onih iz tarifnog broja 8305) i slični predmeti, od gvožđa ili čelika, sa ili bez glave od drugog materijala, ali isključujući takve proizvode sa glavom od bakra

CTH

7318

Vijci, navrtke, tirfoni, vijci s kukom, zakivci, zatezni klinovi, podloške (uključujući elastične podloške) i slični proizvodi, od gvožđa ili čelika

CTH

7319

Igle za šivenje, igle za pletenje, tupe igle, igle za kukičanje, igle za vezenje i slični proizvodi, za upotrebu u ruci, od gvožđa ili čelika; Sigurnosne i druge igle, od gvožđa ili čelika, na drugom mestu nepomenute ili neobuhvaćene

CTH

7320

Opruge i listovi za opruge, od gvožđa ili čelika

CTH

7321

Peći za zagrevanje prostorija, štednjaci, rešetkasta ognjišta, kuhinjske peći (uključujući i sa pomoćnim kazanom za centralno grejanje), roštilji, mangali, gasni rešoi, grejači tanjira i slični aparati za domaćinstvo, neelektrični, i njihovi delovi, od gvožđa ili čelika

CTH

7322

Radijatori za centralno grejanje, neelektrično zagrevani, i njihovi delovi, od gvožđa ili čelika; Grejači vazduha i distributori toplog vazduha (uključujući distributore koji takođe mogu distribuirati svež ili kondicioniran vazduh), neelektrično zagrevani, sa ugrađenim motornim ventilatorom, i njihovi delovi, od gvožđa ili čelika

CTH

7323

Stoni, kuhinjski i drugi proizvodi za domaćinstvo i njihovi delovi, od gvožđa ili čelika; Vuna od gvožđa ili čelika, sunđeri za ribanje posuđa i jastučići za ribanje ili poliranje, rukavice i slično, od gvožđa ili čelika

CTH

7324

Sanitarni proizvodi i njihovi delovi, od gvožđa ili čelika

CTH

7325

Ostali liveni proizvodi od gvožđa ili čelika

CTH

7326

Ostali proizvodi od gvožđa ili čelika

CTH

Glava 82

ALATI, NOŽARSKI PROIZVODI, KAŠIKE I VILJUŠKE, OD PROSTIH METALA; NJIHOVI DELOVI OD PROSTIH METALA

Osnovno pravilo: roba ili delovi proizvedeni od poluproizvoda (blanks)

(a) Zemlja porekla robe ili dela proizvedenog od poluproizvoda, koji je primenom Osnovnog pravila 2(a) za primenjivanje Harmonizovanog sistema svrstan u isti tarifni broj, tarifni podbroj ili međupodbroj kao i kompletan ili dovršen proizvod ili deo, jeste zemlja u kojoj su sve radne ivice, radne površine ili radni delovi oblikovani u krajnji oblik i dimenzije, pod uslovom da poluproizvod od kojih su proizvedeni, u stanju u kome je uvezen:

- nije mogao da funkcioniše; i

- nije bio obrađen dalje od osnovnog postupka štancovanja ili druge prerade neophodne da bi se materijal izvadio iz kovačke matrice ili kalupa za livenje;

(b) ako kriterijumi iz stava (a) nisu ispunjeni, zemlja porekla je zemlja porekla poluproizvoda iz ove glave.

Preostalo pravilo uz ovu glavu:

Ako se zemlja porekla ne može utvrditi primenom osnovnih pravila, zemlja porekla robe je zemlja iz koje potiče najveći deo materijala, utvrđen na osnovu vrednosti materijala.

Tarifni broj HS 2022

Opis robe

Osnovna pravila

8201

Ručni alat: ašovi, lopate, krampovi, budaci, motike, vile i grabulje; Sekire, kosiri i sličan alat za sečenje; Makaze svih vrsta za rezanje grana; Kose, srpovi, noževi za seno, makaze za živu ogradu, klinovi za cepanje stabala i ostali alat koji se koristi u poljoprivredi, hortikulturi ili šumarstvu

CTH

8202

Ručne testere; Listovi za testere svih vrsta (uključujući listove testera za urezivanje, prerezivanje, kao i listovi testera bez zubaca).

Kao što je navedeno za tarifne podbrojeve

8202 10

- Ručne testere

CTH

8202 20

- Listovi za tračne testere

CTSH

 

- Kružni listovi za testere, uključujući testerasta glodala:

 

8202 31

- - Sa radnim delom od čelika

CTSH

8202 39

- - Ostalo, uključujući delove

Kao što je navedeno za ex tarifne podbrojeve

ex 8202 39 (a)

- - zupci za testere i segmenti zubaca za kružne testere

CTH

ex 8202 39 (b)

- - ostalo

CTSHS

8202 40

- Rezni lanci za testere

Kao što je navedeno za ex tarifne podbrojeve

ex 8202 40 (a)

- - zupci za testere i segmenti zubaca za lančane testere

CTH

ex 8202 40 (b)

- - ostalo

CTSHS

 

- Ostali listovi za testere:

 

8202 91

- - Pravi (ravni) listovi za testere, za obradu metala

CTSH

8202 99

- - Ostalo

CTSH

8203

Turpije, rašpe, klešta (uključujući klešta za sečenje), pincete, makaze sa sečenje metala, sekači cevi, sekači svornjaka, klešta za bušenje i sličan ručni alat

CTSH

8204

Obični i francuski ključevi za vijke, ručni (uključujući moment ključeve); Izmenljivi ulošci za ključeve, sa ili bez drške

CTSH

8205

Ručni alat (uključujući staklorezačke dijamante), koji na drugom mestu nije pomenut niti uključen; Lampe za lemljenje; Mengele, stege i slično, osim pribora i delova za mašine alatke ili mašine za sečenje vodenim mlazom; Nakovnji; Prenosne kovačnice; Tocila sa postoljem, okretana rukom ili pedalom

CTH

8206

Alat iz dva ili više tar. br. 8202 do 8205, u setovima za prodaju na malo

CTH

8207

Izmenljivi alat za ručne alatke, sa ili bez mehaničkog pogona, ili za mašine alatke (npr.: za presovanje, otkivanje, utiskivanje, probijanje, narezivanje i urezivanje navoja, bušenje, proširivanje otvora, struganje, provlačenje, glodanjeili za odvijanje/zavijanje odvrtkama) uključujući matrice za izvlačenje ili ekstrudiranje metala i alata za bušenje stena i zemlje

Kao što je navedeno za tarifne podbrojeve

 

- Alat za bušenje stena i zemlje:

 

8207 13

- - Sa radnim delom od kermeta

CTSH

8207 19

- - Ostalo, uključujući delove

Kao što je navedeno za ex tarifne podbrojeve

ex 8207 19 (a)

- - delovi

CTH

ex 8207 19 (b)

- - ostalo

CTSHS

8207 20

- Matrice za vučenje ili ekstrudiranje metala

CTSH

8207 30

- Alat za presovanje, kovanje, izvlačenje ili prosecanje

CTSH

8207 40

- Alat za narezivanje ili urezivanje navoja

CTSH

8207 50

- Alat za bušenje, osim za bušenje stena i zemlje

CTSH

8207 60

- Alat za proširivanje otvora, uključujući bušenjem

CTSH

8207 70

- Alat za glodanje

CTSH

8207 80

- Alat za struganje

CTSH

8207 90

- Ostali izmenljivi alat

CTSH

Odeljak XVI

MAŠINE, APARATI I MEHANIČKI UREĐAJI; ELEKTROTEHNIČKI PROIZVODI; NJIHOVI DELOVI; APARATI ZA SNIMANJE I REPRODUKCIJU ZVUKA, TELEVIZIJSKI APARATI ZA SNIMANJE I REPRODUKCIJU SLIKE I ZVUKA, DELOVI I PRIBOR ZA TE PROIZVODE

Glava 84

NUKLEARNI REAKTORI, KOTLOVI, MAŠINE I MEHANIČKI UREĐAJI I NJIHOVI DELOVI

Osnovno pravilo: delovi i pribor proizvedeni od poluproizvoda (blanks):

Zemlja porekla robe proizvedene od poluproizvoda, koja je primenom Osnovnog pravila 2(a) za primenjivanje Harmonizovanog sistema svrstana u isti tarifni broj, tarifni podbroj ili međupodbroj kao i kompletan ili dovršen proizvod, jeste zemlja u kojoj je poluproizvod dovršen, pod uslovom da dovršavanje uključuje konfiguraciju do konačnog oblika odstranjivanjem materijala (pored običnog brušenja ili poliranja ili oba ova postupka) ili postupka njegovog formiranja kao što je savijanje, kovanje, presovanje ili štancovanje.

Stav 1. odnosi se na robu koja se može svrstati na osnovu odredaba za delove ili delove i pribor, uključujući robu posebno navedenu pod ovim odredbama.

Definicija "sastavljanja poluprovodničkih proizvoda"

Osnovno pravilo "sastavljanje poluprovodničkih proizvoda" koje se upotrebljava u tabeli u nastavku, znači promenu iz čipova ili drugih poluprovodničkih proizvoda u čipove, ili druge poluprovodničke proizvode koji su zapakovani ili montirani na zajednički medijum za povezivanje ili su povezani a zatim montirani. Sastavljanje poluprovodničkih proizvoda ne smatra se minimalnim postupkom.

Napomene uz ovu glavu

Napomena 1: Kompleti delova

Kada je promena u svrstavanju rezultat primene Osnovnog pravila 2(a) za primenjivanje Harmonizovanog sistema u pogledu kompleta delova koji predstavljaju nesastavljeni proizvod iz drugog tarifnog broja ili podbroja, pojedinačni delovi zadržavaju svoje poreklo pre stavljanja u komplet.

Napomena 2: Sklapanje kompleta delova

Roba koja je sklopljena od kompleta delova, svrstana kao sklopljena roba primenom Osnovnog pravila 2, ima poreklo zemlje u kojoj je sklopljena, pod uslovom da bi sklapanjem bilo zadovoljeno osnovno pravilo za robu da je svaki od delova bio prikazan odvojeno, a ne kao komplet.

Napomena 3: Rasklapanje robe

Promena u svrstavanju koja je rezultat rasklapanja robe ne može se smatrati promenom koju zahteva pravilo utvrđeno u Listi. Zemlja porekla delova dobijenih rasklapanjem robe je zemlja u kojoj su delovi dobijeni, osim ako uvoznik, izvoznik ili neko drugo lice koje ima opravdan razlog za utvrđivanje porekla delova ne dokaže, na osnovu proverljivog dokaza, da je zemlja porekla neka druga zemlja.

Preostalo pravilo uz ovu glavu:

Ako se zemlja porekla ne može utvrditi primenom osnovnih pravila, zemlja porekla robe je zemlja iz koje potiče najveći deo materijala, utvrđen na osnovu vrednosti materijala.

Tarifni broj HS 2022

Opis robe

Osnovna pravila

ex 8443

Aparati za fotokopiranje sa ugrađenim optičkim sistemom ili aparati za kontaktno kopiranje

CTH

ex 8473

Memorijski moduli

CTH ili sastavljanje poluprovodničkih proizvoda

ex 8482

Kuglični, valjkasti ili igličasto-valjkasti ležaji, sastavljeni

Sastavljanje kojem je prethodila termička obrada, brušenje i poliranje unutrašnjih i spoljašnjih prstenova

Glava 85

ELEKTRIČNE MAŠINE I OPREMA I NJIHOVI DELOVI; APARATI ZA SNIMANJE I REPRODUKCIJU ZVUKA, TELEVIZIJSKI APARATI ZA SNIMANJE I REPRODUKCIJU SLIKE I ZVUKA, DELOVI I PRIBOR ZA TE PROIZVODE

Osnovno pravilo: delovi i pribor proizvedeni od poluproizvoda (blanks):

Zemlja porekla robe proizvedene od poluproizvoda, koja je primenom Osnovnog pravila 2(a) za primenjivanje Harmonizovanog sistema svrstana u isti tarifni broj, tarifni podbroj ili međupodbroj kao i kompletan ili dovršen proizvod, jeste zemlja u kojoj je poluproizvod dovršen, pod uslovom da dovršavanje uključuje konfiguraciju do konačnog oblika odstranjivanjem materijala (pored običnog brušenja ili poliranja ili oba ova postupka) ili postupka njegovog formiranja kao što je savijanje, kovanje, presovanje ili štancovanje.

Stav 1. odnosi se na robu koja se može svrstati pod odredbama za delove ili delove i pribor, uključujući robu posebno navedenu pod ovim odredbama.

Definicija "sastavljanja poluprovodničkih proizvoda"

Osnovno pravilo "sastavljanje poluprovodničkih proizvoda" koje se upotrebljava u Listi, znači promenu iz čipova ili drugih poluprovodničkih proizvoda u čipove ili druge poluprovodničke proizvode, koji su zapakovani ili montirani na zajednički medijum za povezivanje ili su povezani a zatim montirani. Sastavljanje poluprovodničkih proizvoda ne smatra se minimalnim postupkom.

Napomene uz ovu glavu

Napomena 1: Kompleti delova

Kada je promena u svrstavanju rezultat primene Osnovnog pravila 2(a) za primenjivanje Harmonizovanog sistema u pogledu kompleta delova koji predstavljaju nesastavljeni proizvod iz drugog tarifnog broja ili podbroja, pojedinačni delovi zadržavaju svoje poreklo pre stavljanja u komplet.

Napomena 2: Sklapanje kompleta delova

Roba koja je sklopljena od kompleta delova, svrstana kao sklopljena roba primenom Osnovnog pravila 2, ima poreklo zemlje u kojoj je sklopljena, pod uslovom da bi sklapanjem bilo zadovoljeno osnovno pravilo za robu da je svaki od delova bio prikazan odvojeno, a ne kao komplet.

Napomena 3: Rasklapanje robe

Promena u svrstavanju koja je rezultat rasklapanja robe ne može se smatrati promenom koju zahteva pravilo utvrđeno u Listi. Zemlja porekla delova dobijenih rasklapanjem robe je zemlja u kojoj su delovi dobijeni, osim ako uvoznik, izvoznik ili neko drugo lice koje ima opravdan razlog za utvrđivanje porekla delova, ne dokaže da je zemlja porekla neka druga zemlja, na osnovu proverljivog dokaza, kao što je oznaka porekla na samom delu ili dokumentacija.

Preostalo pravilo uz ovu glavu:

Ako se zemlja porekla ne može utvrditi primenom osnovnih pravila, zemlja porekla robe je zemlja iz koje potiče najveći deo materijala, utvrđen na osnovu vrednosti materijala.

Tarifni broj HS 2022

Opis robe

Osnovna pravila

ex 8501

Fotonaponski moduli ili paneli od kristalnog silicijuma

CTH, osim iz tarifnog broja 8541

ex 8523 59

Integrisano kolo sa zavojnicom za karticu sa čipovima

CTH ili sastavljanje poluprovodničkih proizvoda

ex 8525 80 (OVO NE ZNAM GDE JE PREŠLO)

Poluprovodnička komponenta za slikovni prikaz

CTH ili sastavljanje poluprovodničkih proizvoda

8527

Prijemnici za radio-difuziju, uključujući i prijemnike kombinovane u istom kućištu sa aparatom za snimanje ili reprodukciju zvuka ili satom

CTH, osim iz tarifnog broja 8529

8528

Monitori i projektori, bez ugrađenih televizijskih prijemnika; Televizijski prijemnici, sa ili bez ugrađenih radio prijemnika ili aparata za snimanje i reprodukciju zvuka ili slike

CTH, osim iz tarifnog broja 8529

8535

Električni aparati za uključivanje/isključivanje ili zaštitu električnih strujnih kola ili za ostvarivanje priključivanja na ili u električna strujna kola (npr.: prekidači, osigurači, gromobrani, ograničavači napona, odvodnici prenapona, utikači i drugi konektori, razvodne kutije), za napone preko 1000 V

CTH, osim iz tarifnog broja 8538; ili sastavljanje poluprovodničkih proizvoda

ex 8536

Poluprovodnički električni aparati za uključivanje/isključivanje ili zaštitu električnih strujnih kola ili za ostvarivanje priključivanja na ili u električna strujna kola (npr.: prekidači, releji, osigurači, odvodnici prenapona, utikači i utičnice, sijalična grla i ostali konektori, razvodne kutije), za napone ne preko 1000 V

CTH, osim iz tarifnog broja 8538; ili sastavljanje poluprovodničkih proizvoda

8541

Poluprovodnički uređaji (npr.. diode, tranzistori, pretvarači na bazi poluprovodnika); Fotoosetljivi poluprovodnički uređaji, uključujući fotonaponske ćelije sastavljene ili nesastavljene u module ili obrazovane u ploče; Diode za emitovanje svetlosti (LED), sastavljene ili nesastavljene sa drugim diodama za emitovanje svetlosti (LED); Montirani piezo-električni kristali

Kao što je navedeno za ex tarifne brojeve

ex 8541 (a)

fotonaponske ćelije, moduli ili paneli od kristalnog silicijuma

CTH

ex 8541 (b)

ostalo

CTH ili sastavljanje od poluprovodničkih proizvoda

8542

Elektronska integrisana kola

CTH ili sastavljanje od poluprovodničkih proizvoda

ex 8548 90 (ne znam gde je prešlo)

Moduli za pametno povezivanje, uključujući komunikacioni upravljački sklop i zaštićeni upravljački sklop za pametne kartice

CTH ili sastavljanje od poluprovodničkih proizvoda

Odeljak XVIII

OPTIČKI, FOTOGRAFSKI, KINEMATOGRAFSKI, MERNI, KONTROLNI, PRECIZNI, MEDICINSKI I HIRURŠKI INSTRUMENTI I APARATI; ČASOVNICI; MUZIČKI INSTRUMENTI; NJIHOVI DELOVI I PRIBOR

Glava 90

OPTIČKI, FOTOGRAFSKI, KINEMATOGRAFSKI, MERNI, KONTROLNI, PRECIZNI, MEDICINSKI I HIRURŠKI INSTRUMENTI I APARATI; NJIHOVI DELOVI I PRIBOR

Definicija "sastavljanja poluprovodničkih proizvoda"

Osnovno pravilo "sastavljanje poluprovodničkih proizvoda" koje se upotrebljava u Listi, znači promenu iz čipova ili drugih poluprovodničkih proizvoda u čipove ili druge poluprovodničke proizvode, koji su zapakovani ili montirani na zajednički medijum za povezivanje ili su povezani a zatim montirani. Sastavljanje poluprovodničkih proizvoda ne smatra se minimalnim postupkom.

Preostalo pravilo uz ovu glavu:

Ako se zemlja porekla ne može utvrditi primenom osnovnih pravila, zemlja porekla robe je zemlja iz koje potiče najveći deo materijala, utvrđen na osnovu vrednosti materijala.

Tarifni broj HS 2022

Opis robe

Osnovna pravila

ex 9029

Poluprovodnički senzor magnetnog polja sa magnetski zavisnim otpornicima, sa ili bez dodatne komponente za pripremu signala

CTH, osim iz tarifnog broja 9033; ili sastavljanje poluprovodničkih proizvoda

Glava 91

ČASOVNICI I NJIHOVI DELOVI

Preostalo pravilo uz ovu glavu:

Ako se zemlja porekla ne može utvrditi primenom osnovnih pravila, zemlja porekla robe je zemlja iz koje potiče najveći deo materijala, utvrđen na osnovu vrednosti materijala.

Tarifni broj HS 2022

Opis robe

Osnovna pravila

ex 9113

Kaiševi, trake i narukvice za časovnike i delovi za kaiševe, trake i narukvice, od tekstila

CTH

Odeljak XX

RAZNI PROIZVODI

Glava 94

NAMEŠTAJ, POSTELJINA, DUŠECI, NOSAČI DUŠEKA, JASTUCI I SLIČNI PUNJENI PROIZVODI; LAMPE I DRUGA SVETLEĆA TELA, NA DRUGOM MESTU NEPOMENUTI ILI UKLJUČENI; OSVETLJENI ZNACI, OSVETLJENE PLOČICE SA IMENIMA I SLIČNO; MONTAŽNE ZGRADE

Napomena uz ovu glavu

Radi primene ovih pravila o poreklu koja se odnose na promenu u svrstavanju robe (odnosno, promenu tarifnog broja ili promenu tarifnog podbroja), promene koje su rezultat promene upotrebe ne smatraju se dovoljnim za sticanje statusa proizvoda sa poreklom.

Preostalo pravilo uz ovu glavu:

Ako se zemlja porekla ne može utvrditi primenom osnovnih pravila, zemlja porekla robe je zemlja iz koje potiče najveći deo materijala, utvrđen na osnovu vrednosti materijala.

Tarifni broj HS 2022

Opis robe

Osnovna pravila

ex 9401 i ex 9403

Keramička sedišta (osim onih iz tarifnog broja 9402), uključujući ona koja se mogu pretvoriti u ležajeve, i ostali nameštaj, i njihovi delovi, dekorisani

CTH

ex 9405

Keramičke lampe i druga svetleća tela, uključujući reflektore i njihove delove, na drugom mestu nepomenuti niti obuhvaćeni, dekorisani; Osvetljeni keramički znaci, osvetljene pločice sa imenima i slično, sa stalno fiksiranim svetlosnim izvorom i njihovi delovi na drugom mestu nepomenuti niti obuhvaćeni, dekorisani

CTH

 

Prilog 8

UVERENJE O POREKLU ZA ODREĐENE PROIZVODE NA KOJE SE PRIMENJUJU POSEBNI NEPREFERENCIJALNI UVOZNI REŽIMI

Uvodne napomene:

1. Uverenje o poreklu važi 12 meseci od datuma izdavanja od strane organa izdavalaca.

2. Uverenje o poreklu sastoji se od jednog lista označenog kao "originalni primerak" pored naziva dokumenta. Ako su neophodni dodatni primerci, oni sadrže oznaku "kopija" pored naziva dokumenta. Carinski organ Republike Srbije prihvata kao važeći samo originalni primerak uverenja o poreklu.

3. Dimenzije uverenja o poreklu iznose 210 × 297 mm. Dozvoljeno je odstupanje do plus 8 mm ili do minus 5 mm, po dužini. Uverenje se štampa na belom papiru, koji ne sadrži mehaničku pulpu i čija površinska masa nije manja od 40 g/m2. Na pozadini prednje strane, originalni primerak ima otisnut žuti "guilloche" uzorak, čime se omogućava da svako krivotvorenje mehaničkim ili hemijskim sredstvima bude uočljivo.

4. Uverenje o poreklu štampa se i popunjava pisaćom mašinom na srpskom ili engleskom jeziku. Uneti podaci se ne smeju brisati niti se sme pisati preko njih. Sve izmene se unose precrtavanjem pogrešnog podatka i, ako je potrebno, dodavanjem ispravnih podataka. Te izmene parafira lice koje ih je unelo i overavaju organi izdavaoci.

Svi dodatni podaci obavezni za sprovođenje zakonodavstva Republike Srbije kojim se uređuju posebni uvozni režimi unose se u rubriku 5. uverenja o poreklu.

Neiskorišćen prostor u rubrikama 5, 6. i 7. precrtava se tako da se ništa ne može dodati u kasnijoj fazi.

5. Svako uverenje o poreklu sadrži serijski broj, štampan ili unet na drugi način, po kome se ono može identifikovati, a overava ga pečatom organ izdavalac i potpisuju lica ovlašćena za to.

6. Uverenje o poreklu izdato naknadno sadrži u rubrici 5. napomenu na srpskom ili engleskom jeziku: "Naknadno izdato"/ "Issued retrospectively".

 

Prilog 9

IZJAVA DOBAVLJAČA ZA PROIZVODE SA STATUSOM PREFERENCIJALNOG POREKLA

Izjava dobavljača, čiji je tekst naveden u nastavku, mora biti sastavljena u skladu sa fusnotama. Međutim, fusnote se ne moraju navoditi.

IZJAVA

Ja, dolepotpisani, izjavljujem da je roba navedena u ovoj ispravi...................... (1) poreklom iz........................... (2) i u skladu sa pravilima o poreklu kojima se uređuje preferencijalna trgovina sa.......................... (3) :

Izjavljujem da se (4):

□ Primenjuje kumulacija sa............................... (ime zemlje/zemalja)

□ Ne primenjuje kumulacija

Obavezujem se da stavim na raspolaganje carinskim organima sve dalje prateće isprave koje zahtevaju:

................................... (5)

................................... (6)

................................... (7)

_____________
(1) Ako se to odnosi samo na neku robu navedenu u ispravi, ona se jasno navodi ili obeležava i to obeležavanje se unosi u izjavu na sledeći način:
............................. navedena u ovoj ispravi i obeležena......................... je poreklom iz....................................
(2) Republika Srbija, zemlja, grupa zemalja ili teritorija iz kojih je roba poreklom.
(3) Data zemlja, grupa zemalja ili teritorija. Ako se preferencijalno poreklo proizvoda iz zemlje, grupe zemalja ili teritorija može steći na osnovu više od jednog pravila o poreklu, dobavljači navode pravni osnov za utvrđivanje porekla robe (PEM Konvencija i/ili Prelazna pravila o poreklu). Ako je zemlja, grupa zemalja ili teritorija strana ugovornica PEM Konvencije i ako pravni osnov nije naveden, smatra se da se izjavom dobavljača navodi da je PEM Konvencija primenjena za utvrđivanje porekla robe.
(4) Popuniti, po potrebi, samo za robu sa statusom preferencijalnog porekla u kontekstu preferencijalnih trgovinskih odnosa sa jednom od zemalja sa kojom se primenjuje pan-evro-mediteranska kumulacija porekla.
(5) Mesto i datum
(6) Ime i pozicija u privrednom društvu.
(7) Potpis.

Prilog 10

DUGOROČNA IZJAVA DOBAVLJAČA ZA PROIZVODE SA STATUSOM PREFERENCIJALNOG POREKLA

Izjava dobavljača, čiji je tekst naveden u nastavku, mora biti sastavljena u skladu sa fusnotama. Međutim, fusnote se ne moraju navoditi.

IZJAVA

Ja, dolepotpisani, izjavljujem da je roba opisana u nastavku:

............................................... (1)

............................................... (2)

koja se redovno isporučuje............................. (3), poreklom iz........................................ (4) i u skladu sa pravilima o poreklu kojima se uređuje preferencijalna trgovina sa.................................... (5).

Izjavljujem da se (6):

□ Primenjuje kumulacija sa............................. (ime zemalja)

□ Ne primenjuje kumulacija

Ova izjava važi za sve pošiljke ovih proizvoda otpremljene iz:.................................. do................... (7).

Obavezujem se da odmah obavestim............................. ako prestane važenje ove izjave.

Obavezujem se da stavim na raspolaganje carinskim organima sve dalje potporne dokumente koje zahtevaju.

............................................. (8)

............................................. (9)

............................................. (10)

______________
(1) Opis.
(2) Trgovački naziv kako se koristi na fakturama, npr. model br.
(3) Naziv privrednog društva kome se roba isporučuje.
(4) Republika Srbija, zemlja, grupa zemalja ili teritorija iz kojih je roba poreklom.
(5) Data zemlja, grupa zemalja ili teritorija. Ako se preferencijalno poreklo proizvoda iz zemlje, grupe zemalja ili teritorija može steći na osnovu više od jednog pravila o poreklu, dobavljači navode pravni osnov za utvrđivanje porekla robe (PEM Konvencija i/ili Prelazna pravila o poreklu). Ako je zemlja, grupa zemalja ili teritorija strana ugovornica PEM Konvencije i ako pravni osnov nije naveden, smatra se da se izjavom dobavljača navodi da je PEM Konvencija primenjena za utvrđivanje porekla robe.
(6) Popuniti, po potrebi, samo za robu sa statusom preferencijalnog porekla u kontekstu preferencijalnih trgovinskih odnosa sa jednom od zemalja sa kojom se primenjuje pan-evro-mediteranska kumulacija porekla.
(7) Navesti datume. Period ne sme preći 24 meseca odnosno 12 meseci ako je izjava izdata naknadno.
(8) Mesto i datum.
(9) Ime i pozicija u privrednom društvu, naziv i adresa privrednog društva.
(10) Potpis.

Prilog 11

IZJAVA DOBAVLJAČA ZA PROIZVODE BEZ STATUSA PREFERENCIJALNOG POREKLA

Izjava dobavljača, čiji je tekst naveden u nastavku, mora biti sastavljena u skladu sa fusnotama. Međutim, fusnote se ne moraju navoditi.

IZJAVA

Ja, dolepotpisani, dobavljač robe obuhvaćene priloženim dokumentom, izjavljujem da:

1. Sledeći materijali koji nemaju status preferencijalnog porekla upotrebljeni su u Republici Srbiji za proizvodnju ove robe:

Opis isporučene robe (1)

Opis upotrebljenih materijala bez porekla

HS tarifni broj upotrebljenih materijala bez porekla (2)

Vrednost upotrebljenih materijala bez porekla (3)

 

 

 

 

 

 

 

 

 

 

 

Ukupno:

2. Svi ostali materijali upotrebljeni u Republici Srbiji za proizvodnju ove robe poreklom su iz........................... 4) i u skladu su sa pravilima o poreklu kojima se uređuje preferencijalna trgovina sa................... 5) i

Izjavljujem da se: (6)

□ Primenjuje kumulacija sa.................................................... (ime zemalja)

□ Ne primenjuje kumulacija

Obavezujem se da stavim na raspolaganje carinskim organima sve dalje prateće isprave koje zahtevaju

....................................... (7)

....................................... (8)

....................................... (9)

__________________
(1) Kada se faktura, otpremnica ili drugi komercijalni dokument kome je priključena izjava odnosi na drugu vrstu robe ili robu koja ne sadrži u istoj meri materijale bez porekla, dobavljač mora jasno navesti razliku.
Primer:
Dokumentom su obuhvaćeni različiti modeli elektromotora pod tarifnim brojem 8501 koje treba upotrebiti u proizvodnji mašina za pranje veša pod tarifnim brojem 8450. Priroda i vrednost materijala bez porekla upotrebljenih u proizvodnji motora razlikuje se od modela do modela. Modeli moraju biti zasebno navedeni u koloni 1, a informacije iz ostalih kolona moraju biti date za svaki, tako da proizvođač mašina za pranje veša može pravilno proceniti status proizvoda sa poreklom svakog od svojih proizvoda u zavisnosti od tipa motora ugrađenog u njega.
(2) Popuniti samo ako je potrebno.
Primer:
Pravilom za odeću iz Glave 62. omogućena je upotreba prediva bez porekla. Prema tome, ako proizvođač odeće iz Srbije upotrebljava tkaninu izrađenu u Makedoniji od prediva bez porekla, dobavljač iz Makedonije unosi samo "predivo" kao materijale bez porekla u kolonu 2 svoje deklaracije - HS tarifni broj i vrednost prediva nisu od značaja.
Preduzeće koje proizvodi žicu pod HS tarifnim brojem 7217 od gvozdenih šipki bez porekla mora uneti "gvozdene šipke" u kolonu 2. Ako žicu treba ugraditi u mašinu za koju se pravilom o poreklu određuje procentualno ograničenje vrednosti upotrebljenih materijala bez porekla, vrednost šipki se mora uneti u kolonu 4.
(3) "Vrednost" - carinska vrednost materijala u trenutku uvoza ili, ako ona nije poznata i ne može se ustanoviti, prva cena za koju se može ustanoviti da je plaćena za materijale u Republici Srbiji.
Za svaku vrstu upotrebljenog materijala bez porekla navesti tačnu vrednost po jedinici robe prikazanu u koloni 1.
(4) Popuniti samo ako je od značaja. Republika Srbija, zemlja, grupa zemalja ili teritorija iz kojih je roba poreklom.
(5) Popuniti samo ako je od značaja. Data zemlja, grupa zemalja ili teritorija. Ako se preferencijalno poreklo proizvoda iz zemlje, grupe zemalja ili teritorija može steći na osnovu više od jednog pravila o poreklu, dobavljači navode pravni osnov za utvrđivanje porekla robe (PEM Konvencija i/ili Prelazna pravila o poreklu). Ako je zemlja, grupa zemalja ili teritorija strana ugovornica PEM Konvencije i ako pravni osnov nije naveden, smatra se da se izjavom dobavljača navodi da je PEM Konvencija primenjena za utvrđivanje porekla robe.
(6) Popuniti, po potrebi, samo za robu sa statusom preferencijalnog porekla u kontekstu preferencijalnih trgovinskih odnosa sa jednom od zemalja sa kojom se primenjuje pan-evro-mediteranska kumulacija porekla.
(7) Mesto i datum.
(8) Ime i funkcija, naziv i adresa privrednog društva.
(9) Potpis.

Prilog 12

DUGOROČNA IZJAVA DOBAVLJAČA ZA PROIZVODE BEZ STATUSA PREFERENCIJALNOG POREKLA

Izjava dobavljača, čiji je tekst naveden u nastavku, mora biti sastavljena u skladu sa fusnotama. Međutim, fusnote se ne moraju navoditi.

IZJAVA

Ja, dolepotpisani, dobavljač robe obuhvaćene ovim dokumentom, koja se redovno šalje................................ (1), izjavljujem da:

1. Sledeći materijali koji nemaju status preferencijalnog porekla upotrebljeni su u Republici Srbiji za proizvodnju ove robe:

Opis isporučene robe (2)

Opis upotrebljenih materijala bez porekla

HS tarifni broj upotrebljenih materijala bez porekla (3)

Vrednost upotrebljenih materijala bez porekla (4)

 

 

 

 

 

 

 

 

 

 

 

Ukupno:

2. Svi ostali materijali upotrebljeni u Republici Srbiji za proizvodnju ove robe poreklom su iz....................................................... (5) i u skladu su sa pravilima o poreklu kojima se uređuje preferencijalna trgovina sa........................................... (6) i

Izjavljujem da se: (7)

□ Primenjuje kumulacija sa........................................ (ime zemalja)

□ Ne primenjuje kumulacija

Ova izjava važi za sve pošiljke ovih proizvoda otpremljene iz... do................................. (8).

Obavezujem se da odmah obavestim..................................... ako prestane važenje ove izjave.

Obavezujem se da stavim na raspolaganje carinskim organima sve dalje potporne dokumente koje zahtevaju.

.................................................... (9)

.................................................... (10)

................................................... (11)

_______________
(1) Naziv i adresa kupca.
(2) Kada se faktura, otpremnica ili drugi komercijalni dokument kome je priključena izjava odnosi na drugu vrstu robe ili robu koja ne sadrži u istoj meri materijale bez porekla, dobavljač mora jasno navesti razliku.
Primer:
Dokumentom su obuhvaćeni različiti modeli elektromotora pod tarifnim brojem 8501 koje treba upotrebiti u proizvodnji mašina za pranje veša pod tarifnim brojem 8450. Priroda i vrednost materijala bez porekla upotrebljenih u proizvodnji motora razlikuje se od modela do modela. Modeli moraju biti zasebno navedeni u koloni 1, a informacije iz ostalih kolona moraju biti date za svaki, tako da proizvođač mašina za pranje veša može pravilno proceniti status proizvoda sa poreklom svakog od svojih proizvoda u zavisnosti od tipa motora ugrađenog u njega.
(3) Popuniti samo ako je potrebno.
Primer:
Pravilom za odeću iz Glave 62. omogućena je upotreba prediva bez porekla. Prema tome, ako proizvođač odeće iz Srbije upotrebljava tkaninu izrađenu u Makedoniji od prediva bez porekla, dobavljač iz Makedonije unosi samo "predivo" kao materijale bez porekla u kolonu 2 svoje deklaracije - HS tarifni broj i vrednost prediva nisu od značaja.
Preduzeće koje proizvodi žicu pod HS tarifnim brojem 7217 od gvozdenih šipki bez porekla mora uneti "gvozdene šipke" u kolonu 2. Ako žicu treba ugraditi u mašinu za koju se pravilom o poreklu određuje procentualno ograničenje vrednosti upotrebljenih materijala bez porekla, vrednost šipki se mora uneti u kolonu 4.
(4) "Vrednost" - carinska vrednost materijala u trenutku uvoza ili, ako ona nije poznata i ne može se ustanoviti, prva cena za koju se može ustanoviti da je plaćena za materijale u Republici Srbiji.
Za svaku vrstu upotrebljenog materijala bez porekla navesti tačnu vrednost po jedinici robe prikazanu u koloni 1.
(5) Popuniti samo ako je od značaja. Republika Srbija, zemlja, grupa zemalja ili teritorija iz kojih je roba poreklom.
(6) Popuniti samo ako je od značaja. Data zemlja, grupa zemalja ili teritorija. Ako se preferencijalno poreklo proizvoda iz zemlje, grupe zemalja ili teritorija može steći na osnovu više od jednog pravila o poreklu, dobavljači navode pravni osnov za utvrđivanje porekla robe (PEM Konvencija i/ili Prelazna pravila o poreklu). Ako je zemlja, grupa zemalja ili teritorija strana ugovornica PEM Konvencije i ako pravni osnov nije naveden, smatra se da se izjavom dobavljača navodi da je PEM Konvencija primenjena za utvrđivanje porekla robe.
(7) Popuniti, po potrebi, samo za robu sa statusom preferencijalnog porekla u kontekstu preferencijalnih trgovinskih odnosa sa jednom od zemalja sa kojom se primenjuje pan-evro-mediteranska kumulacija porekla.
(8) Navesti datume. Ovaj period ne treba biti duži od 24 meseca.
(9) Mesto i datum.
(10) Ime i funkcija, naziv i adresa privrednog društva.
(11) Potpis.

Prilog 13

IZJAVA NA FAKTURI

Izjava na fakturi, čiji je tekst naveden u nastavku, mora biti sastavljena u skladu sa fusnotama. Međutim, fusnote se ne moraju navoditi.

Verzija na srpskom jeziku

Izvoznik proizvoda obuhvaćenih ovim dokumentom (broj carinskog ovlašćenja … (1)) izjavljuje da su, osim ako nije drugačije jasno navedeno, ovi proizvodi … (2) preferencijalnog porekla.

…………………………………………….. (3)

(Mesto i datum)

…………………………………………… (4)

(Potpis izvoznika; pored toga, ime lica koje potpisuje izjavu mora biti čitko napisano)

_______________
(1) Kada izjavu na fakturi sastavlja ovlašćeni izvoznik, na ovom mestu se mora uneti broj ovlašćenja ovlašćenog izvoznika. Kada izjavu na fakturi ne sastavlja ovlašćeni izvoznik, moraju se izostaviti reči u zagradama ili se mesto mora ostaviti prazno.
(2) Treba navesti poreklo proizvoda.
(3) Ovi navodi se mogu izostaviti ako se te informacije nalaze u samom dokumentu.
(4) Videti član 96. stav 5. ove uredbe. U slučajevima kada izvoznik nije obavezan da stavi potpis, izuzeće od obaveze potpisivanja podrazumeva i izuzeće od navođenja imena potpisnika.

Invoice declaration

The invoice declaration, the text of which is given below, must be made out in accordance with the footnotes. However, the footnotes do not have to be reproduced.

English version

The exporter of the products covered by this document (customs authorisation No … (1)) declares that, except where otherwise clearly indicated, these products are of … (2) preferential origin.

…………………………………………….. (3)

(Place and date)

…………………………………………… (4)

(Signature of exporter; in addition the name of the person signing the declaration has to be indicated in clear script)

_____________
(1) When the invoice declaration is made out by an approved exporter, the authorisation number of the approved exporter must be entered in this space. When the invoice declaration is not made out by an approved exporter, the words in brackets must be omitted or the space left blank.
(2) Origin of products to be indicated.
(3) These indications may be omitted if the information is contained on the document itself.
(4) See Article 96. Paragraph 5. of this regulation. In cases where the exporter is not required to sign, the exemption of signature also implies the exemption of the name of the signatory.